缺血伴非阻塞性冠脉疾病(INOCA)定义为患者有心肌缺血症状但冠脉造影并未发现冠脉解剖学狭窄。INOCA曾一度被认为是良性心脏疾病,但随着指南更新指出该疾病患者预后较差,如何优化其预后预测亟待解决。
D-SPECT作为核心脏病学领域的最新技术进展,可一站式评估患者左心室功能及冠脉血流储备(CFR),提供丰富预后信息。基于此,同济大学核医学研究所所长余飞教授团队率先运用D-SPECT相位分析技术评估INOCA患者的左心室机械不同步(LVMD),并成功构建了首个基于LVMD的预后风险评估模型,为INOCA患者提供了预后新策略。以上研究成果以"A Left Ventricular Mechanical Dyssynchrony-Based Nomogram for Predicting Major Adverse Cardiac Events Risk in Patients With Ischemia and No Obstructive Coronary Artery Disease"为题发表于Frontiers in cardiovascular medicine(2022年3月在线发表,JCR 1区期刊)。
研究人员指出,INOCA作为一种致病机制复杂的强异质性疾病,最主要的病理生理学机制是冠状动脉微血管功能障碍(CMD),可通过冠脉血流储备(CFR)进行诊断。研究表明INOCA患者合并CMD会进一步导致不良预后,且由于频繁的复发住院治疗导致了较高的卫生经济学负担,因此早期预测CMD进而优化INOCA患者的危险分层有较强的临床意义。
如何能更早期和便捷的预测CMD? 研究人员发现,甲状腺激素受体广泛存在于心肌组织中,正常范围内甲状腺激素的细微变化会展现出与心血管不良事件的密切联系,其中游离甲状腺素(FT4)/游离三碘甲状腺原氨酸(FT3)比值反映了组织特异性脱碘酶的活性,有望成为预测INOCA患者CMD的潜在生物学靶点。
基于此,该团队设计前瞻性临床试验(www.chictr.org.cn/, ChiCTR2000037112),招募甲状腺功能正常的INOCA患者,首次探索了甲状腺激素水平与冠脉微循环功能间的潜在联系。研究结果证实INOCA患者FT4/FT3比值的升高与CMD的发生率密切相关,有望为INCOA患者的CMD预测提供临床工作中常用的新型生物学标志物。以上研究成果近期以"FT4/FT3 ratio: A novel biomarker predicts coronarymicrovascular dysfunction(CMD) in euthyroid INOCA patients"为题发表于Frontiers in Endocrinology(JCR 1区期刊)并受邀在第27届美国核心脏病学年会(ASNC)做学术报告。
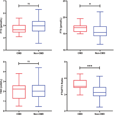
(1)CMD患者FT4和FT4/FT3比值水平在正常范围内有不同程度升高 
(2)INOCA患者的FT4和FT4/FT3比值水平与CFR呈负相关

(3)FT4和FT4/FT3比值预测INOCA患者CMD的最佳截断值分别为15.42和3.39

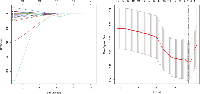
(4)经过对19个临床相关变量的单因素LASSO回归筛选和多因素logistic回归分析,FT4/FT3比值为CMD的独立预测因子(OR 7.62,95%CI 1.12-51.89,P=0.038)。进一步进行趋势性检验分析,结果表明FT4/FT3比值升高提示CMD风险逐渐升高。(OR14.79, 95% CI 1.69-129.52, P for trend =0.006)

同济大学核医学研究所余飞教授团队,致力于基于D-SPECT的核心脏病学研究,包括INOCA患者的实时风险预警模型构建、INOCA患者冠脉生理学指导下的影像学预后靶点探索以及联合深度学习技术的心肌缺血判别模型构建等,相关研究成果发表在《Frontiers in cardiovascular medicine》, 《Frontiers in Endocrinology》,《journal of nuclear cardiology》,《International journal of cardiovascular imaging》等期刊。
本文第一作者为同济大学核医学研究所博士研究生张涵;通讯作者为同济大学核医学研究所所长余飞教授。
张涵
同济大学核医学研究所2020级博士生,师从余飞教授。主要研究方向为核心脏病学、AI联合无创心血管影像学。目前以第一作者/共同第一作者发表SCI 10篇,申请专利2项。
余飞
同济大学核医学研究所 所长
同济大学附属第十人民医院党委副书记
主任医师/教授,国家重点研发计划课题组组长、国家自然科学基金评审专家、教育部科技评审专家,《中华核医学与分子影像杂志》编辑部(上海)副主任。开展D-SPECT核心脏病学研究、阿尔法核素内照射靶向治疗生物学效应研究、电离辐射调控细胞命运重塑免疫微环境的机制研究。