abp 统计怎么做【Critical Care】CAHR-TBI队列研究:NIRS脑氧和脑血管反应性指数在TBI中的预测价值

新闻资讯2026-04-20 22:33:30



神经重症监护



abp 统计怎么做【Critical Care】CAHR-TBI队列研究:NIRS脑氧和脑血管反应性指数在TBI中的预测价值_https://www.jmylbn.com_新闻资讯_第1张

基于NIRS的CVR指数是预测TBI患者预后的潜在有效工具,结果发表在2024年的Critical Care上。


PMID: 38486211

DOI: 10.1186/s13054-024-04859-6




研究背景




       中度至重度颅脑创伤(TBI)的当代重症监护管理仍然集中在基于以颅内压(ICP)和脑灌注压(CPP)为目标的指南。尽管经历了迭代更新,但这些危重患者的临床预后在过去几十年中未能得到改善。因此临床医生将注意力转向多模态监测,希望更好地了解患者个体大脑病理生理状态。然而,在应用此类管理策略之前,必须彻底理解对这些不同参数之间的关联。

 近红外光谱(NIRS)是其中一个有趣的多模态参数。近红外光可以穿透头皮和颅骨到达脑实质,不同波长的发射光发生散射或被吸收。在空间分辨率的NIRS仪器中,大脑微血管中的氧合血红蛋白和脱氧血红蛋白散射光可分别被检测区分,用于计算区域氧饱和度(rSO₂)等参数。

        NIRS因其非侵入性及较高的空间分辨率而具有优势,但TBI后NIRS参数和预后之间的关联仍不清楚。大量的文献支持NIRS参数和脑血流(CBF)之间的关联,但尚未明确提示预后恶化的阈值。

        另一方面,研究人员也在大量的研究中探讨了脑血管自动调节功能/脑血管反应性(CVR)失衡可作为TBI后继发性脑损伤的诱因。这很大程度上得益于CVR的连续检测,其中最为突出的是压力反应性指数(PRx)。PRx利用ICP(通常适用于中重度TBI患者,作为脑血容量(CBV)变化的替代指标)和动脉压(ABP,作为驱动压的替代指标)进行相关性计算。接近-1值提示血管自动调节功能可(即CVR功能完整),接近+1值提示血管自动调节功能差。(即CVR功能不完整)。

        大量的证据证实了中重度TBI后脑血管反应性失调与功能预后不良之间的关系。此外,达到特定PRx阈值时TBI预后往往恶化,病死率增加,因此一些研究尝试开展一些将PRx维持在临界阈值以下的临床研究。

        PRx尽管有很多优势,但仍存在固有局限,最重要的是,其依赖侵入性ICP监测,因此PRx在非急性期或轻型TBI患者中应用受限。此外,ICP只能作为CBV的替代指标,因此PRx的空间分辨率低,基本只能进行全脑评估。因此,床旁持续局部CVR监测就越来越引起临床兴趣。

        尽管NIRS参数在TBI诊疗中的应用证据不一,但利用这些参数计算CVR指标仍有希望。事实上,除了基于ICP的指南外,基于NIRS的CVR指数是唯一能识别大型动物模型自动调节下限的连续检测指标。然而,临床预后恶化的阈值尚未确定。

        本研究探讨了NIRS参数rSO₂、基于NIRS的CVR指数(即CBV替代指标)和预后的相关性。利用加拿大CAHR-TBI(Canadian High-Resolution TBI)研究数据,该研究是一项在中重度TBI患者,高频监测NIRS,同步记录ICP、ABP数据,主要研究目的是明确这些参数和临床预后之间的关联,次要目的是明确临床预后恶化时这些参数的阈值。




研究方法



1


研究设计

一项多中心、回顾性队列研究,即CAHR-TBI研究,对中重度TBI患者进行前瞻性高频记录生理参数和临床预后数据。相关数据库记录可追溯到2011年。

2


人群

    中重度TBI(入院GCS<13分)患者、转入4家大学附属医院的成人ICU,包括丘陵医疗中心(卡尔加里大学)、温尼伯健康科学中心(马尼托巴大学)、马斯特里赫特大学医疗中心(马斯特里赫特大学)和温哥华总医院(英属哥伦比亚大学)。收集数据包括人口学数据(年龄、性别)、入院损伤严重程度(GCS、瞳孔反应性)、影像学特征(Marshall CT评分)、预后评估(GOSE)。自动放弃诊疗的患者没有相应数据,根据各中心的诊疗指南,如家属/代理人商议后决定撤除诊疗则停止监测。因此仅采集积极治疗期间的生理学数据。鉴于本研究的探索性和回顾性,无法对样本量进行计算,因此对符合纳入标准的所有患者数据进行分析。

    纳入CAHR-TBI数据库中有ICP、ABP、rSO₂监测的患者,伤后24h内开始记录,所有患者诊疗按照指南接受标准治疗,包括有指征的情况下放置ICP、ICP的干预阈值20-22mmHg,CPP目标值>60mmHg,值得注意的是CPP>70mmHg在各个中心不常规应用。虽然所有纳入患者都收集了NIRS的rSO₂数据,但没有常规用于指导临床诊疗。最后个体化诊疗不受连续CVR监测影响。

3


高频生理参数采集

ICP监测采用脑实质内探针(美国强生公司的Codman ICP、德国Raumedic公司的Neurovent-temp或者美国Natus公司的Comino ICP),放置在额叶或者带脑室外引流管(EVD)。未发生需要矫正的零点漂移。ABP通过桡动脉穿刺连接压力传感器(美国百特公司)获得,在耳屏水平进行调零。NIRS电极片放在左、右额叶合适的部位进行rSO₂参数采集。


高频记录数据:ABP、ICP数据(≥ 100Hz)、rSO₂( 信号采集1Hz,信号生成0.2Hz)。使用ICM+软件将数据进行整合处理。



研究结果



1


队列人口学特征

        2016/11-2022/12间CAHR-TBI数据库中共129例患者纳入分析,其中丘陵医疗中心18例、温尼伯健康科学中心87例、马斯特里赫特大学医疗中心22例、温哥华总医院2例。共采集751060条生理参数记录,中位记录持续时间4578min(IQR:2346-8275min)。图1显示了1小时内采集每隔10s生理参数均值,每分钟生成CVR数据。87例患者影像学检查显示rSO2监测侧的血管外出血。102例患者选择了右通道的rSO2数据,27例患者选择了左侧rSO2通道数据。表1总结了两个队列患者的人口统计学资料和生理学监测参数。


abp 统计怎么做【Critical Care】CAHR-TBI队列研究:NIRS脑氧和脑血管反应性指数在TBI中的预测价值_https://www.jmylbn.com_新闻资讯_第2张

图1. 前4个系列是每隔10s一个均值数据的动脉压(ABP)、颅内压(ICP)、左侧和右侧区域脑组织氧饱和度(L rSO2、R rSO2)。后5个系列是每分钟导出的脑血管反应性指数:PRx(即压力反应性指数)、L COx指数(即基于脑灌注压的左侧脑氧指数)、R COx指数(即基于脑灌注压的右侧脑氧指数)、L Cox_a指数(即基于ABP的左侧脑氧指数)、R Cox_a指数(即基于ABP的右侧脑氧指数),该5个CVR指数之间的一致性较好。

abp 统计怎么做【Critical Care】CAHR-TBI队列研究:NIRS脑氧和脑血管反应性指数在TBI中的预测价值_https://www.jmylbn.com_新闻资讯_第3张

表1. 患者人口学资料和颅内生理参数


        存活/死亡组和预后良好/预后不佳组的Mann-Whitney U检验结果见表2.。统计结果显示死亡组和预后不良组患者年龄更大,预后不良组患者入院GCS评分更低,死亡组患者也有入院GCS评分更低趋势但未达统计学上显著差异。所有CVR指标(PRx、COx、COx_a)在死亡组患者中更高(有统计学意义)。虽然预后不良组患者PRx和COx比预后良好组高但没有统计学差异。最后,值得注意的是,rSO2在两组预后中均未显示差异。

abp 统计怎么做【Critical Care】CAHR-TBI队列研究:NIRS脑氧和脑血管反应性指数在TBI中的预测价值_https://www.jmylbn.com_新闻资讯_第4张

表2. 生存/死亡、预后不良/预后良好组患者的人口学特征、生理参数的比较

2


确定阈值

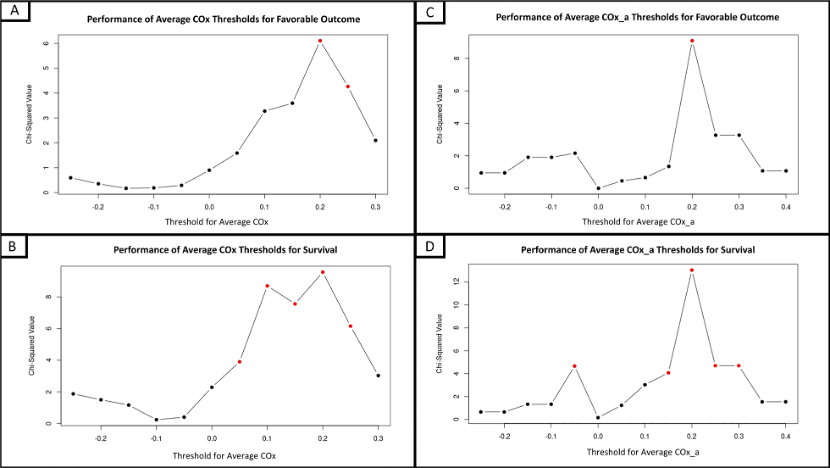
        rSO2均值在两组预后中均无统计学差异,因此没有阈值。在图2A和2B中,COx均值=+0.2时,在生存/死亡组和预后不良/良好组中能产生最佳统计学差异(χ2=6.11,p=0.013;χ2=9.57,p=0.0020)。同样,在图2C和2D中,COx_a均值=+0.2时,在生存/死亡组和预后不良/良好组中能产生最佳统计学差异(χ2=9.08,p=0.0026;χ2=13.04,p<0.001)。

abp 统计怎么做【Critical Care】CAHR-TBI队列研究:NIRS脑氧和脑血管反应性指数在TBI中的预测价值_https://www.jmylbn.com_新闻资讯_第5张

图2. 脑氧指数COx的CPP变异、脑氧指数COx_a的ABP变异增量阈值的卡方散点图,其中A和C分别是判别预后良好和不良的COx和COx_a均值阈值,B和C分别是判别生存和死亡的COx和COx_a均值阈值。红点表示达统计学差异的卡方值(p<0.05)。值得注意的是,虽然COx和COx_a理论上可从-1到+1,但在本研究数据集中两者数值均集中在一个较小的范围。


    在两组预后中(即生存/死亡、预后良好/预后不良),在单因素Logistic回归中未得出有统计学差异rSO2阈值。COx阈值-0.05时可产生表现最好的单因素Logistic回归模型,预测存活(p<0.001,AUC=0.70,95%CI 0.60-0.79)和预后良好(p=0.003,AUC=0.65,95%CI 0.55-0.79)时效能最佳。同样地, COx_a阈值为-0.05时产生表现最好的单因素Logistic回归模型,此时预测存活(p<0.001,AUC=0.70,95%CI 0.61-0.80)和预后良好结局(p=0.002,AUC=0.65,95%CI 0.56-0.75)时效能最佳。


3


单因素和多因素回归分析

通过单变量Logistic回归分析,rSO2均值不是预后相关独立危险因素,而ICP、PRx和COx、COx_a均值均能有效预测存活、预后良好。值得注意的是,COx均值作为单变量回归量时表现最好,Nagelkerke R2显示其变量变异的程度最大。一般来说,基于rSO2的CVR指标在预后预测上和PRx相当甚至更高。所有单因素Logistic回归分析见表3.

abp 统计怎么做【Critical Care】CAHR-TBI队列研究:NIRS脑氧和脑血管反应性指数在TBI中的预测价值_https://www.jmylbn.com_新闻资讯_第6张

表3.单因素Logistic回归分析


        多因素Logistic回归分析显示,在基础模型中加入rSO2未能改善模型性能且对预后不产生额外影响。虽然纳入参数平均值的所有模型的AUC都比较相似,但当基础模型中增加ICP、PRx、COx或COx_a均值时,Nagelkerke R2值显著提高,表明模型解释结果差异的能力增加。当加入基础模型时,ICP、COx或COx_a均值均都可独立预测存活还是死亡,而预测预后良好还是不良时只有ICP和COx均值可独立预测。有趣的时,表现最好的多变量模型是那些纳入既往确定COx和COx_a阈值-0.05的时间百分比模型。值得注意的是,当基础模型参数中只加入PRx时,既不能预测存活/死亡,也不能预测预后良好与否。多变量Logistic回归分析的全部结果见表4.。


abp 统计怎么做【Critical Care】CAHR-TBI队列研究:NIRS脑氧和脑血管反应性指数在TBI中的预测价值_https://www.jmylbn.com_新闻资讯_第7张

表4. 多因素回归分析




研究结论



          本研究探讨了rSO2和基于rSO2的CVR参数在中重度TBI患者预后预测价值。虽然rSO2绝对值在预后预测价值有限,但COx和COx_a均能预测预后。除此之外,COx和COx_a的均值阈值为0.2,超过此阈值预后明显恶化。此外-0.05是COx和COx_a产生最佳阈值的百分比阈值。这项工作为进一步探索基于NIRS的CVR指数作为可能的预后预测工具打开了大门。未来需要进一步工作来验证这些发现,并探索TBI救治的急性期和慢性期中COx/COx_a导向的的TBI诊疗策略。



 abp 统计怎么做【Critical Care】CAHR-TBI队列研究:NIRS脑氧和脑血管反应性指数在TBI中的预测价值_https://www.jmylbn.com_新闻资讯_第8张

叶相如


华山医院神经重症主治医生,师从胡锦教授,目前从事神经重症、气道管理、感染方向的临床及科研工作。


关注神经重症最新进展

每日一更

长按扫码关注我们

abp 统计怎么做【Critical Care】CAHR-TBI队列研究:NIRS脑氧和脑血管反应性指数在TBI中的预测价值_https://www.jmylbn.com_新闻资讯_第9张