为什么微量泵会响【爱儿小醉】中心静脉压对微量注射泵启动后液体输注的影响

新闻资讯2026-04-17 13:23:19

为什么微量泵会响【爱儿小醉】中心静脉压对微量注射泵启动后液体输注的影响_https://www.jmylbn.com_新闻资讯_第1张

为什么微量泵会响【爱儿小醉】中心静脉压对微量注射泵启动后液体输注的影响_https://www.jmylbn.com_新闻资讯_第2张

复旦大学附属儿科医院

为什么微量泵会响【爱儿小醉】中心静脉压对微量注射泵启动后液体输注的影响_https://www.jmylbn.com_新闻资讯_第3张

为什么微量泵会响【爱儿小醉】中心静脉压对微量注射泵启动后液体输注的影响_https://www.jmylbn.com_新闻资讯_第4张

临床意义

关于这个研究我们已知什么?

1.临床上用于低速率微量泵注的输液泵的启动延迟是众所周知的。

2.注射器的尺寸和结构、在连接前使用快进模式排气、快速启动模式的激活、使用过滤器、反虹吸阀和止回阀等都会导致启动延迟。

3.现有的体外研究表明了输液泵的启动延迟与中心静脉压力相关,但这并不代表在临床实际应用时启动输液泵和更换注射器时也会出现启动延迟。

前言

低速率(0.1~7ml/h)微量输液泵广泛应用于高浓度、强效和短效的静脉药物的连续精确给药。然而,这种使用注射器的微量输注泵,常与药物输注的启动延迟相关,导致药物作用的时间滞后延长。当血流动力学不稳定的患者使用心血管药物或更换注射器时这一点尤为明显。在过去的二十年里,研究者们研究了影响输液泵启动延迟程度的各种影响因素。这些因素包括流速、注射器的尺寸和结构、输液泵设计、输液管路设置、在连接前使用快进模式排气、快速启动模式的激活、使用过滤器、反虹吸和止回阀等。 

输液泵启动性能的数据主要来自体外实验装置,在启动输液泵之前,将输液泵组件调至大气压或模拟中心静脉压力(CVP)水平(fireS1)。而在临床实践中,特别是危重患儿中,CVP的水平常发生显著波动变化,并且在启动输液泵之前,输液泵不能与CVP压力水平保持平衡一致。迄今为止,尚未对处于不同数值水平的CVP下连接了注射器的输液泵启动后的液体输注进行研究。

本研究目的是比较体外试验中在不同CVP水平下,与CVP压力水平保持平衡或非平衡时,放置注射器后输液泵的启动性能。

材料和方法

使用体外试验装置测量不同水平的中心静脉压对输液泵启动后液体输送的影响,该装置包括流体流量传感器(SLI -1000;senrion AG, Staefa, Switzerland)。使用特定软件(Sensirion_Software_USB_RS485_Sensor_Viewer_V2.91)每间隔100毫秒记录流体流量值,每隔5秒取50个数值算得一个平均值,同时记录输注流体的总量。

使用50ml的注射器(BD Plastipak 50ml, Becton Dickinson and Company)和相应的充满蒸馏水(无菌水1000 mL;Dr. G. Bichsel AG)的输液管路(Extension Set with Pressure Disk, PE/PVC, 200 cm, CareFusion, Rolle, Switzerland)。按照制造商的建议,使用蒸馏水而不是生理盐水溶液,以避免液体在流量传感器内沉积,从而影响流体流量测量。将连接了输液延长管的注射器放入输液泵(BD Alaris™CC Plus guardrils输液泵,瑞士Rolle)。

输液延长管的远端连接到双向输液接头(Discofix, B Braun Melsungen AG)一端(如图1),输液接头另一端连接至流量传感器的入口。流量传感器的出口则连接到一个三通上(3-Way-Stopcock PSU blue, Fresenius KABI, Bad Homburg, Germany),三通的侧端连接了一个有创动脉血压监测器(TruWave; Edwards Life-Sciences)。三通的另一端连接了一根50cm长的小口径输液延长管(Original Perfusor line, B. Braun)。延长管另一端再接到儿童用的22G,5.5Fr,内径8cm的三腔中心静脉导管上(Pediatric Three-Lumen CVC, Arrow, Teleflex Medical) 。中心静脉导管的一个头端接入流体室。流体室中充满蒸馏水,流体表面高度分别高于流量传感器的进出口高度0,13或26 cm,分别模拟CVP水平在0,10或20 mmHg的情况。有创动脉血压监测器连接到监护仪(S/5TM Anesthesia Monitor; Datex-Ohmeda, Helsinki, Finland)后调节零点。停用保持静脉开放(KVO)模式和快速启动模式用于测试两个输液泵的功能。为避免输液装置腔内气泡,严格检查注射器和连接所使用的不同输注液体。


为什么微量泵会响【爱儿小醉】中心静脉压对微量注射泵启动后液体输注的影响_https://www.jmylbn.com_新闻资讯_第5张

图1在不同的中心静脉压水平(0,10和20mmhg)下,测量输液泵启动时的液体输送的实验装置如示意图。(1)输液泵;(2)注射器;(3)带压力盘的200cm长的输液延长管;(4)双向输液接头;(5)流体流量传感器;(6)三通;(7)压力传感器;(8) 50cm长输液延长管;(9)小儿用5.5 Fr, 8cm三腔中心静脉导管;(10)22GA中心静脉导管;(11)流体室中充满蒸馏水,流体表面高度分别高于流量传感器的进出口高度0,13或26 cm。


1.1实验准备

将输液泵、输液延长管和流量传感器置于同一水平位置(图1),按下启动按钮,快进输注1ml液体(流速:200ml/h)。快进输注一分钟后,将输液延长管的远端连接到关闭的双向接头上。之后,进行了以下两种不同的实验设置:

1.2实验设置1(平衡启动)

打开双向接头,使中心静脉导管与连接的输液泵组件之间的压力平衡。压力平衡后,根据流量传感器的指示,按下输液泵启动键,开始流体流量测量。这个实验装置代表了研究启动延迟的“标准”实验装置。

1.3实验设置2(非平衡启动)

在打开双向接头以允许液体在中心静脉导管和输液泵上注射器之间流动之前,开始测量流体流量。打开双向接头后,立即按下启动键。这个实验装置更多地代表了临床实践中所发生的情况,即装满某种药物(例如,正性肌力药物)的注射器通过输液延长管连接到中心静脉导管后并开始输注。

1.4测量

以1mL/h的设定输液流速测量CVP水平为0、10和20mmHg时的流体流量,并用两个相同的输液泵 (A/B)按随机顺序重复四次测量(总共 48 次启动运行)。实验在19-21℃的室温下进行。

主要记录数据是在按下输液泵启动键后的10、60、120和180s后顺行和逆行返流的输注量。次要记录数据为输液泵启动后至稳态流速达到设定输液流速(1 mL/h)≥90%(≥15μL/min)和≥95%(≥15.883μL/min)的时间。其他记录数据包括逆行返流输注量被推回中心静脉导管的时间(零给药时间),以及达到≥90%和≥95%稳态流速时的输注量。

统计分析

通过线性混合效应模型分析,对输注的流体随时间推移进行纵向分析。P值采用Satterthwaite方法计算。为了在稳态条件下和零给药时间下对输送液体进行建模,将中心静脉压和设置的线性混合效应模型视为固定效应,包括一个相互作用项,并将输液泵视为随机效应。以中心静脉压为协变量,采用泊松连接和建立的广义线性模型计算稳态流速时间。统计分析使用R环境4.2.2版本(R Core Team)进行计算。

数据以95%置信区间的均值表示。计算流速为1mL/h 时输送到预期输注量的平均值的百分比值。

结果

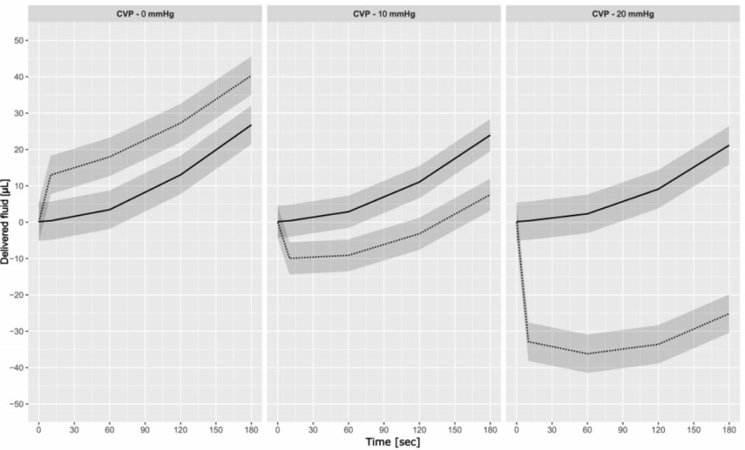
输液泵启动10、60、120和180s后的输注量测量显示,两种实验设置之间存在相当大的统计学差异(0.0001)(表1)。在设置1中,只有在CVP水平较低时输注量有较多的趋势(= 0.922),而在设置2中,不同CVP水平下的输注量则存在显著统计学差异(0.0001)。在设置1中,约50%的预期液体在启动3min后输注。相比之下,设置2在CVP 0mmHg时,几乎于前10秒内输入了全部的1min液体量(16.46 (14.2-18.72)μL)。这与设置2设定CVP水平为10 mmHg和20 mmHg时有明显不同,在设置2中,即使在启动后3min,也测量到了逆行返流液体量(图2)。

在设定流速为1mL/h下达到≥90%和≥95%稳态流速的时间在设置1(p = .002和p<.0001)以及设置2(p<.0001和p<.0001)中测得的CVP水平有显著差异(表2)。≥90%和≥95%稳态流速下的输注量和输注量与计算输注量的平均值的百分比如表2所示。在CVP水平为10和20 mmHg时,设置2的平均(95% CI)零给药时间分别为3.22 (2.98-3.46)min和4.51 (4.33-4.69)min(<0.0001)。两种泵(A/B)之间的组内相关系数(ICC)为0.17,这表明输注泵对差异的影响非常小。


表1。输液泵启动10、60、120和180秒后,中心静脉压力分别为0、10和20 mmHg,设定流速为1ml /h时,平衡(设置1)和不平衡(设置2),液体输注量以及平均输注量与计算输注量之比。

为什么微量泵会响【爱儿小醉】中心静脉压对微量注射泵启动后液体输注的影响_https://www.jmylbn.com_新闻资讯_第6张

注:负值表示逆流。数值为平均值(95%CI)和平均输注量与计算输注量之比的百分比;体积(%);†p<.0001.


图2 输液泵组件平衡(设置1-实线)和未平衡(设置2-虚线)分别与中心静脉压(0、10 和 20 mmHg)随时间推移对输注液体量的时变效应的图形表示。泵的输注速率始终设置为 1 mL/h。估计效应以线表示,95% 置信区间以阴影区域表示。

为什么微量泵会响【爱儿小醉】中心静脉压对微量注射泵启动后液体输注的影响_https://www.jmylbn.com_新闻资讯_第7张


表2.从泵启动到达到设定输注流速(1mL/h)的≥90%和≥95%稳态流速的时间,以及输注泵启动前在平衡(设置1)和非平衡(设置2)中心静脉压力分别为0,10和20mmhg时,测量的输注量和平均输注量与计算的输注量之比。数值为平均值(95% CI)和平均输注量与计算输注量的百分比(%)。

为什么微量泵会响【爱儿小醉】中心静脉压对微量注射泵启动后液体输注的影响_https://www.jmylbn.com_新闻资讯_第8张


讨论

目前的体外研究表明,在预设压力等于大气压或模拟CVP(实验装置1)压力水平的情况下,研究输液泵启动延迟时有明显的局限性,且不能代表临床实际工作中输液泵上注射器连接到中心静脉导管后的启动情况(实验装置2)。与设置1相比,当启动时间达到≥90%和≥95%的稳态液体流速后,设置2的液体流量仅适度增加,CVP压力水平在输液泵连接注射器并启动后对初始流体输送方向和流量有显著且持久的影响。

在连接和启动带注射器的输液泵后,我们发现在模拟CVP为0mmHg时相当大的顺行输注液体量是由输液泵上注射器连接管路与中心静脉导管管路间的压力梯度引起的。在前10秒内即推注了16.46(14.2–18.72)μL的液体量,相当于增加了6倍的流速或给予了1min的全量液体和药物。由于本研究中两台泵的KVO和Faststart功能未激活,因此无法解释这一发现。模拟CVP为0 mmHg时,将注射器的延长管的鲁尔接头连接到双向输液接头时(均充满蒸馏水)可能会导致输注泵组件内的流体压缩,从而导致输液管路朝向中心管路形成正压梯度。在 CVP水平为10和20mmHg 时,启动泵后10秒内测量的回流体积分别为16.94(19.44–14.44)μL 和29.39(32.09–26.69)μL。这些液体转移是由于中心静脉管路中的压力高于输液泵上连接的注射器引起的。由于推回逆行液体容积的平均时间为3.22min和4.51min,即在CVP 水平为10和20 mmHg 时启动输注泵后3分钟,也没有药物会到达设置2中的中心静脉管路。

本研究结果具有重要的临床意义。输液泵的启动延迟可能对危重患者产生重大影响,例如可能引起潜在的持续性血流动力学不稳定,最终导致患者心脏骤停。临床上常需要连续静脉微量输注血管活性药物或正性肌力药物来维持患者血流动力学稳定。由于此类药物的半衰期短,这通常会导致高血压或低血压发作。因此,对此类药物输注延迟的相关研究可有助于减少这类临床重大事件发生。解决这一问题的一个方法是在必要时增加启动流速,但如果不及时降低输液速率,则可能导致高血压的发作。除了在启动输液泵期间大量额外延迟给药外,逆行返流将导致血液从输液管路中回流到中心静脉导管,这也是静脉导管闭塞的一个危险因素。

当危重儿童使用血管活性药物时,更换注射器或调整输液泵组件可导致严重的血流动力学紊乱。有研究报道,在接受持续肾上腺素输注的儿童中,急性动脉高血压和低血压发作与微量输液泵相关。Achuff等人对高血压和低血压发作的观察与目前的研究结果一致,启动输液泵后出现急速的液体大量输注和延长的零给药时间,主要是由于中心静脉管路和新连接及启动的输注泵之间存在的压力梯度。零给药时间长于许多静脉血管活性药物和血流动力学药物的半衰期时间,如果这些药物用于危重儿童,可能导致低血压甚至心力衰竭。在过去已经提出并测试了几种输液泵注射器更换策略。最近的临床数据表明,与所使用的输液泵注射器更换策略无关,在对危重成年患者使用去甲肾上腺素时,所有测试的三种方法中至少有25% 的关键血流动力学事件发生在更换前后。Russotto及其同事认为,中心静脉压可能在装有血管升压药的注射器更换期间引起回流和大容量推注事件,与所使用的策略无关。到目前为止,还没有将CVP水平纳入到去甲肾上腺素输注泵注射器转换过程中血流动力学不稳定的预测因素的研究中,还需要进一步的研究。

我们必须承认本研究的一些局限性。目前的研究只调查了一个单一的输注泵连接到有稳定CVP水平的中心静脉管路。在临床实践中,中心静脉压力水平的改变,通过同一中心静脉导管管腔以及过滤器甚至部分闭塞的导管管腔连接至输液泵输注,可能都会增加或减少观察到的效果。更重要的是,中心静脉导管的内部体积(死腔体积)、延长的输液管、旋塞阀和其他输液泵组件均会导致泵启动期间药物输送的滞后和注射器更换期间的问题。在我们的研究中选择了三腔中心静脉导管的内侧管腔,实验结果可能取决于使用哪个管腔和管腔的大小。最后,我们使用无菌水作为输注液,在这种情况下,当使用其他流体时,液体的粘度可能也会产生影响。虽然这些因素肯定会影响此现象在体内的表现,但它们并不能否定我们的发现,即CVP水平在启动输液泵时对液体和药物输送有重要影响。

综上所述,根据中心静脉压水平的不同,将输液泵放入注射器后连接至中心静脉导管上后启动,可导致大量顺行或逆行返流输液量。这些发现需要我们在临床实践中提高警惕,并进一步研究如何提高使用输液泵进行静脉药物微量输注时的安全性。



编译:梁冰

审校:郭东东

‍‍‍‍‍‍‍‍‍‍

原始文献:

Weiss M, Wendel-Garcia PD, Cannizzaro V,et al. Effect of central venous pressure on fluid delivery during start-up of syringe infusion pumps for microinfusion. Paediatr Anaesth. 2023 Oct;33(10):837-843.



为什么微量泵会响【爱儿小醉】中心静脉压对微量注射泵启动后液体输注的影响_https://www.jmylbn.com_新闻资讯_第9张
声明:古麻今醉公众号为舒医汇旗下,古麻今醉公众号所发表内容之知识产权为舒医汇及主办方、原作者等相关权利人所有。未经许可,禁止进行转载、摘编、复制、裁切、录制等。经许可授权使用,亦须注明来源。欢迎转发、分享。