d-spect怎么检查D-SPECT与13N-氨水PET测量CFR最新研究结果在国际顶级期刊发表

新闻资讯2026-04-20 23:08:01

源于:原创 光脉小编 光脉医疗Spectrum Dynamics 

d-spect怎么检查D-SPECT与13N-氨水PET测量CFR最新研究结果在国际顶级期刊发表_https://www.jmylbn.com_新闻资讯_第1张

d-spect怎么检查D-SPECT与13N-氨水PET测量CFR最新研究结果在国际顶级期刊发表_https://www.jmylbn.com_新闻资讯_第2张

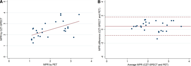
       近日,来自美国布列根和妇女医院(美国哈佛大学医学院第二大附属医院)的Marcelo F. Di Carli教授的课题团队,在世界心血管科学权威杂志-美国心脏协会(AHA)的期刊《Circulation: Cardiovascular Imaging》(2022影响因子:8.589)上发表了关于D-SPECT Cardio测定心肌血流量(MBF)和心肌血流储备(MFR)的准确性以及可重复性的最新研究成果。


      该研究平衡地纳入了超重及其他多种危险因素的男性和女性患者共172人,99mTc-MIBI D-SPECT Cardio测定心肌血流量(MBF)和心肌血流储备(MFR), 13N-Ammonia PET测定的MBF和MFR进行对比; D-SPECT Cardio TruFlow全新动态后处理平台,采用“Spline Fitting”的重建算法。结论证实D-SPECT Cardio测定心肌血流量(MBF)和心肌血流储备(MFR),具有良好的再现性(reproducibility)和可重复性(repeatability)。


d-spect怎么检查D-SPECT与13N-氨水PET测量CFR最新研究结果在国际顶级期刊发表_https://www.jmylbn.com_新闻资讯_第3张

      

     升级版D-SPECT Cardio测得的MFR具有良好的再现性(reproducibility, r=0.77, P<0.01), 与13N-Ammonia PET测定的MFR具有良好的相关性。

d-spect怎么检查D-SPECT与13N-氨水PET测量CFR最新研究结果在国际顶级期刊发表_https://www.jmylbn.com_新闻资讯_第4张 Invia Corridor 4DM

d-spect怎么检查D-SPECT与13N-氨水PET测量CFR最新研究结果在国际顶级期刊发表_https://www.jmylbn.com_新闻资讯_第5张

Cedars QPS/QGS Kinetic



      Dynamics动态采集依靠D-SPECT高时间分辨率、高空间分辨率、高敏感性等优势,定量测量心肌血流量MBF和冠脉血流储备CFR。升级版D-SPECT搭载TruFlow全新动态后处理平台,该平台采用“Spline Fitting”的重建算法,该技术在各帧之间、图像空间像素之间做拟合插值,有助于提升信噪比,对ROI的更好创建和勾画,并可全面提高准确性,为医生在进行分析时节省更多时间。



     早在2018年,法国Caen医院的Agostini教授团队就做了The WATERDAY study:头对头对比99mTc-MIBI D-SPECT与15O-water PET测量MBF/MFR的一致性良好;


d-spect怎么检查D-SPECT与13N-氨水PET测量CFR最新研究结果在国际顶级期刊发表_https://www.jmylbn.com_新闻资讯_第6张 


d-spect怎么检查D-SPECT与13N-氨水PET测量CFR最新研究结果在国际顶级期刊发表_https://www.jmylbn.com_新闻资讯_第7张






MBF

 

 

d-spect怎么检查D-SPECT与13N-氨水PET测量CFR最新研究结果在国际顶级期刊发表_https://www.jmylbn.com_新闻资讯_第8张






MFR/CFR

 

       99mTc-MIBI和15O-water金标准PET测定MBF/MFR结果一致性做对比表明,D-SPECT测得MBF/MFR的灵敏度和特异性都非常好,对比结果具有较高的一致性,其中MFR的一致性更好


    2019年,意大利Wanda Acampa教授团队利用D-SPECT测定MBF (r=0.44,p<0.05)和MFR (r=0.56, p<0.01),无论是心肌血流量还是血流储备均与82Rb PET存在一定相关性,且对于阻塞性冠心病(狭窄>70%)患者,诊断效能无统计学差异。

 

d-spect怎么检查D-SPECT与13N-氨水PET测量CFR最新研究结果在国际顶级期刊发表_https://www.jmylbn.com_新闻资讯_第9张


 

d-spect怎么检查D-SPECT与13N-氨水PET测量CFR最新研究结果在国际顶级期刊发表_https://www.jmylbn.com_新闻资讯_第10张


两种设备测定MBF和MFR相关性(p均<0.05)和一致性


d-spect怎么检查D-SPECT与13N-氨水PET测量CFR最新研究结果在国际顶级期刊发表_https://www.jmylbn.com_新闻资讯_第11张

 

诊断狭窄>70%的阻塞性冠心病,两者效能无统计学差异(p=0.90)


     相较于临床公认的PET检查而言,D-SPECT的检查结果和PET具有很好的一致性,在检查流程上也更加简便, 不受到检查药物制备的限制,相信今后我们会开启心肌血流定量的新时代,也希望今后能在国内建立多中心研究,建立属于中国自己的大数据库,通过多学科的联合,不断挖掘临床以及科研应用。未来,我们也期待着利用精准医疗时代硬"核"技术, 为更多患者服务, 为人民健康保驾护航!


d-spect怎么检查D-SPECT与13N-氨水PET测量CFR最新研究结果在国际顶级期刊发表_https://www.jmylbn.com_新闻资讯_第12张


文献


【1】Marcelo F. Di Carli, et al.Circ Cardiovasc Imaging. 2022;15:e013987. 

DOI: 10.1161/CIRCIMAGING.122.013987


【2】Agostini D, et alEur J Nucl Med Mol Imaging. 2018;45:1079–1090.

doi: 10.1007/s00259-018-3958-7


【3】Acampa W, Zampella E, Assante R, et al. J Nucl Cardiol. 2021;28(6):2827-2839. 

doi:10.1007/s12350-020-02129-w



                                     


d-spect怎么检查D-SPECT与13N-氨水PET测量CFR最新研究结果在国际顶级期刊发表_https://www.jmylbn.com_新闻资讯_第13张


d-spect怎么检查D-SPECT与13N-氨水PET测量CFR最新研究结果在国际顶级期刊发表_https://www.jmylbn.com_新闻资讯_第14张


相关链接:

1、D-SPECT 心肌血流定量操作规范专家共识

2、【CSNM继教 讲座110】石洪成:CZT-SPECT测定CFR标准化流程建立经验分享



声明:本文著作权属原创者所有,不代表本微信公众号立场。如涉著作权事宜,请联系删除。


关注中国核医学医师

依法行医、依法维权

欢迎转发、欢迎转载

欢迎关注

《中国医师协会核医学医师分会官方网》

http://www.caonmp.com/

d-spect怎么检查D-SPECT与13N-氨水PET测量CFR最新研究结果在国际顶级期刊发表_https://www.jmylbn.com_新闻资讯_第15张


《中国核医学医师》微信公众号
第2340期