为什么用高流量呼吸【醉仁心胸】气管切除重建术中采用经鼻高流量氧气行呼吸暂停氧合

新闻资讯2026-04-17 13:50:24
翻译:杨琰;审校郭克芳

为什么用高流量呼吸【醉仁心胸】气管切除重建术中采用经鼻高流量氧气行呼吸暂停氧合_https://www.jmylbn.com_新闻资讯_第1张为什么用高流量呼吸【醉仁心胸】气管切除重建术中采用经鼻高流量氧气行呼吸暂停氧合_https://www.jmylbn.com_新闻资讯_第2张

复旦大学附属中山医院

为什么用高流量呼吸【醉仁心胸】气管切除重建术中采用经鼻高流量氧气行呼吸暂停氧合_https://www.jmylbn.com_新闻资讯_第3张

为什么用高流量呼吸【醉仁心胸】气管切除重建术中采用经鼻高流量氧气行呼吸暂停氧合_https://www.jmylbn.com_新闻资讯_第4张


为什么用高流量呼吸【醉仁心胸】气管切除重建术中采用经鼻高流量氧气行呼吸暂停氧合_https://www.jmylbn.com_新闻资讯_第5张

背景

气管狭窄是一种罕见疾病,通常由长时间插管、原发性或继发性肿瘤和浸润性甲状腺癌引起。如果没有得到充分的治疗,它们会危及生命。气管切除重建是最有效的治疗方法,但困难是在患者的同一气道上进行手术和维持通气。根据狭窄的严重程度和位置以及外科手术的类型,围手术期气道管理可能有多种选择,例如面罩、喉罩气道、气管插管、小导管喷射通气、体外循环、和体外膜氧合。插管或使用小型高频导管等方法通常会导致手术视野狭窄和视力受限。

最近,直接连接到喉罩或气管导管的高流量鼻腔和高流量氧气输送装置已开始用于为某些不插管的喉手术提供氧气,并延长了困难插管的呼吸暂停时间。我们在气管吻合期应用了这种方法进行气管切除和重建,旨在创造一个没有气管插管和通气的最佳手术视野。这项研究旨在评估高流量氧气法用于16例患者气管切除和重建的气道管理的气体交换效率和安全性。

方法

2019年4月 ~ 2020年8月16例诊断为癌浸润性甲状腺癌、气管插管后气管狭窄、气管上肿瘤。拟行气管切除和重建手术,使用高流量氧气联合进行气道管理。

术前准备(材料设备和麻醉剂):

-麻醉机、多参数监护仪、TCI(靶控输液)系统。

-纤维支气管镜,刚性支气管镜

-高流量氧气系统

-柔性气管插管(ETT),ID尺寸从4.0到7.5;Proseal喉罩尺寸为3-5;Cook气道交换导管,直径为3.3-4.7mm可通过窄位置进行高频喷射通气。

– 麻醉剂:丙泊酚、罗库溴铵、芬太尼、吗啡。

– 应急仪器。 

患者评估

患者评估包括一般病史和体格检查,特别注意气道和肺功能,分析动脉血气。为了在麻醉诱导和维持期间为任何可能的气道紧急情况做好准备,术前必须仔细评估狭窄或肿瘤的准确位置和阻塞程度。计算机断层扫描(CT)提供气管狭窄或肿瘤的最大直径、最小气管直径、病变长度、声带到气管狭窄的距离、从狭窄到隆突的距离(图1).支气管镜检查通过可预测插管和手术容量的直视确定气管狭窄或气管周围肿瘤的特征。

为什么用高流量呼吸【醉仁心胸】气管切除重建术中采用经鼻高流量氧气行呼吸暂停氧合_https://www.jmylbn.com_新闻资讯_第6张

方法

在诱导前,必须考虑在全身麻醉下通过狭窄处有可能实现自主呼吸或机械通气。然而,全身麻醉诱导期间可能会发生严重的气道阻塞,因此需要适当的备用方法以防止灾难发生。 外科医生在诱导期间应始终在手术室中,并且在必要时可以参与管理外科气道。刚性支气管镜、经气管喷射通气 (TTJV) 必须立即可用。

如果可能的话,在全身麻醉下进行面罩给氧,用6 L/min、100%的氧气持续5分钟,缓慢温和地诱导麻醉,然后静脉注射芬太尼2μg/kg,异丙酚TCI Cp 3.5–4μg/ml,罗库0.6 mg/kg。

通过面罩进行正压通气,将气管管插入气管,如果声到病变部位的距离>2cm,则气管插管尖端靠近狭窄部位 ;如果气管轻度狭窄,我们使用5.0–6.0 Fr导管通过狭窄部位。如果声带到病变的距离很短<2 cm,放置Proseal喉罩(LMAP),沿着LMAP的第二根导管插入胃管,然后通过LMAP持续通气。如果患者有严重狭窄和气道阻塞,我们使用直径为3.3-4.7mm的库克气道交换导管通过狭窄的位置进行100%氧气的高频喷射通气。如果患者进行气管造口术,则通过气管造口管进行通。采用靶控输注(TCI)方法维持麻醉:异丙酚3.5-4μg/ml ,芬太尼2-3 μg/kg/h,罗库溴铵0.2 mg/kg/h,甲基强的松龙2 mg/kg。一旦气道打开,外科医生将一根6.5-7.5 Fr的气管插管插入远端气道并进行通气。随后麻醉医师完全拔除喉罩、气管插管Cook交换导管,然后在声门处放置气管插管,并用100%的氧气连接到高流量氧气系统。

一旦气管病变被切除,外科医生开始吻合,打开氧气流 35–40 L/min,以便通过打开的气管提供氧气。调整氧气流向远处气管的方向。在此期间,患者仍处于全身麻醉状态,使用神经肌肉阻断剂,并完全停止呼吸。监测血氧饱和度和动脉血气。如果SpO2下降<90%,则在气管距离处使用气管插管进行通气,以支持100%的氧气。当气管接近闭合时,推动气管内管,使套囊穿过吻合口,使通气正常化(图2和图3)。 

为什么用高流量呼吸【醉仁心胸】气管切除重建术中采用经鼻高流量氧气行呼吸暂停氧合_https://www.jmylbn.com_新闻资讯_第7张
为什么用高流量呼吸【醉仁心胸】气管切除重建术中采用经鼻高流量氧气行呼吸暂停氧合_https://www.jmylbn.com_新闻资讯_第8张

手术结束:拔管是主要目标,因为术后机械通气与吻合口失败有关;重建的气道可能是纤细的。当患者处于清醒和合作状态时,所有重要参数均为正常范围;患者应尽快在手术室内拔管。 

监测和评估标准

-患者的特征: 年龄,身高,体重,根据MMRC (改良医学研究委员会) 的呼吸困难分类,患者的身体状态程度ASA (美国麻醉师学会)。根据Cotton- Mayer法评估气管狭窄程度

– 手术特点:麻醉时间、手术时间

– 维持通气的方法。

– 吻合时间:从气管打开到闭合气道。

– 使用高流量通气的呼吸暂停时间

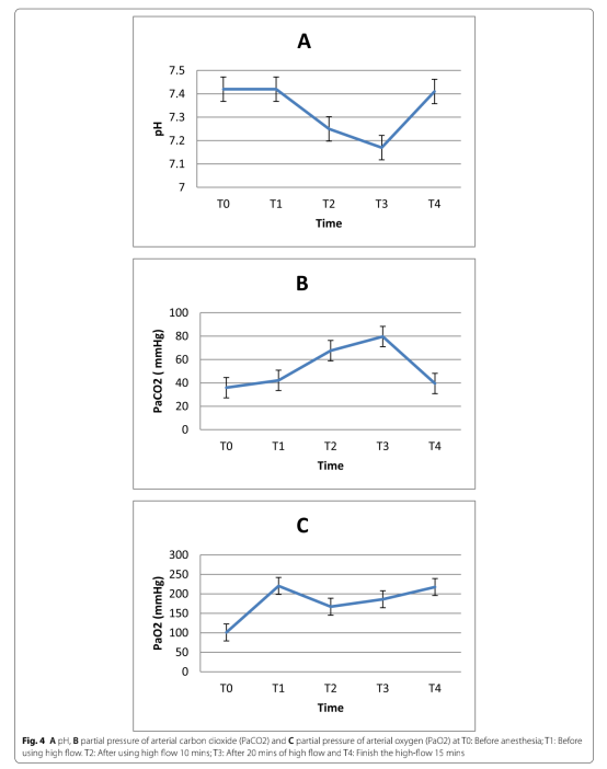
– 持续监测重要参数:心率、SpO2、EtCO2、血压。所有结果均以平均值 ± SD、5个时间点的血气分析(ABG):T0:麻醉前;T1:使用高流量前。T2:使用高流量10分钟后;  T3:使用高流量20分钟后T4:高流量结束后15分钟。

 手术中的并发症包括气道阻塞,肿瘤剥离,气体溢出,气胸。

结果

该组的平均年龄为46.50 ± 16.42 岁。 该组男性比例(56.25%)高于女性(43.75%)。 大多数患者ASA  III2名患者ASA  IV有危及生命的呼吸困难,需紧急手术(表 1)。 

为什么用高流量呼吸【醉仁心胸】气管切除重建术中采用经鼻高流量氧气行呼吸暂停氧合_https://www.jmylbn.com_新闻资讯_第9张

气管狭窄的原因、呼吸困难的分级、气管狭窄的程度见表2、3和4。

为什么用高流量呼吸【醉仁心胸】气管切除重建术中采用经鼻高流量氧气行呼吸暂停氧合_https://www.jmylbn.com_新闻资讯_第10张
为什么用高流量呼吸【醉仁心胸】气管切除重建术中采用经鼻高流量氧气行呼吸暂停氧合_https://www.jmylbn.com_新闻资讯_第11张

根据改良医学研究委员会,11例患者呼吸困难等级为2级和3级,相对应Cotton-Mayer 气管狭窄评级为2级和3级(表 4)。 

为什么用高流量呼吸【醉仁心胸】气管切除重建术中采用经鼻高流量氧气行呼吸暂停氧合_https://www.jmylbn.com_新闻资讯_第12张

平均呼吸暂停时间为 20.91 ± 2.53 分钟附加信息见表 5 

为什么用高流量呼吸【醉仁心胸】气管切除重建术中采用经鼻高流量氧气行呼吸暂停氧合_https://www.jmylbn.com_新闻资讯_第13张

围手术期气道管理可能有多种选择。研究中有1例需要紧急中断手术的缺氧患者必须通过远处气管的气管导管间歇性使用高流量氧气联合通气(表6)。 

为什么用高流量呼吸【醉仁心胸】气管切除重建术中采用经鼻高流量氧气行呼吸暂停氧合_https://www.jmylbn.com_新闻资讯_第14张

高流量期间(T2、T3),PaO2T0时有明显改善;急性呼吸性酸中毒明显表现为pH降低,PaCO2HCO3-升高。 然而,这些数据在T4时恢复正常(表7和图4)。 

为什么用高流量呼吸【醉仁心胸】气管切除重建术中采用经鼻高流量氧气行呼吸暂停氧合_https://www.jmylbn.com_新闻资讯_第15张

高流量吸氧后心率和MAP较T0(诱导前)明显下降,T0时SpO2明显低于T1、T2、T3。 在 20 分钟的高流量 (T3) 后,etCO2 显着高于使用高流量氧气之前和之后(表 8)。 

为什么用高流量呼吸【醉仁心胸】气管切除重建术中采用经鼻高流量氧气行呼吸暂停氧合_https://www.jmylbn.com_新闻资讯_第16张

手术中的副作用(表9)是所有16名患者中的急性呼吸性酸中毒,1名缺氧患者需要中断手术,并通过远端气管的气管插管进行间歇性通气。无心律失常、气胸、血胸、肺气压伤等并发症。

为什么用高流量呼吸【醉仁心胸】气管切除重建术中采用经鼻高流量氧气行呼吸暂停氧合_https://www.jmylbn.com_新闻资讯_第17张
为什么用高流量呼吸【醉仁心胸】气管切除重建术中采用经鼻高流量氧气行呼吸暂停氧合_https://www.jmylbn.com_新闻资讯_第18张

讨论

气管狭窄的治疗方法有很多,例如保守治疗,气管镜治疗主要目的是通过使用冷刀激光扩大狭窄段,使其尽可能接近正常的近端和远端直径: CO2,Nd-YAG,二极管透热氩等离子体或冷冻探针机械扩张 (扩张器,刚性支气管镜) CRE球囊。然后使用丝裂霉素,类固醇,近距离放射疗法和支架进行维持治疗。这些方法提供了良好的短期效果,并提供了暂时的缓解,但它通常不是一个长期的解决方案。在某些情况下,它们会加重狭窄。我们的大多数狭窄气道患者因呼吸急促而入院,根据改良医学研究委员会,有11名患者呼吸困难2级和3级,根据Cotton- Mayer分别为2级和3级气管狭窄。有3例病人不能平躺2例患者管腔狭窄>99已危及生命,必须急诊手术;我们的16名患者中有9名接受了保守治疗但失败或复发性狭窄,因此所有患者都需要手术。

如今,气管切除和重建被称为气管狭窄和肿瘤的标准治疗方法。气管手术后的结果通常非常好,这可以为这些患者提供长期的治疗。麻醉过程分为五个阶段。第一:诱导和插管,这是一个关键时期。第二:解剖,一段相对平静的时期。第三:开放气道,这是进行吻合术的关键时期。第四:关闭,第五:拔管。诱导期是一个关键时期,需要结合多种灵活的方法来控制通。表6中的结果显示,根据狭窄的严重程度和位置,诱导期间可能会有不同的气道管理选择。气管插管可置于病变上方(25%)或穿过病变部位(37.5%),有3例(18.75%)显示声到病变部位的距离很短(<2.5%) 因此,我们不得不使用喉罩(LMAP)进行通气,我们发现这是一种非常安全有效的解决方案。LMA还被用于解决气管手术中气管插管带来的一些问题。

J.V.Divatia等,Byung Cheul Shin等已经成功地将LMAP用于气道管理,对于位于声附近的高位气管肿瘤和高位气管狭窄的手术,没有任何并发症,使用套囊气管管很难管理气道。他们发现LMA用于气管手术的全身麻醉时具有优势,尤其是对于位于声下方的肿瘤。严重气管狭窄超过90%的患者存在气道阻塞的高风险。通过使用高流量氧气,可以确保这些患者的安全。Bricker DL等人、Chiu等、陈海红等采用了体外循环的方法。这种方法是确保气体交换的简单方法。然而,从理论上讲,全身抗凝增加了出血风险,尤其是在经常导致肺部操作的广泛解剖的情况下。诱导前,我们准备了所有急救设备,以防止气阻塞。小型导管穿过狭窄的气管进行喷射通气,外科医生以及手术设备都为气管切开术做好了准备。2名气管狭窄>90%的患者中,有1名患者可以在狭窄空间上方插管和通气。另一方面,在开放气道阶段之前,我们必须使用一根小型喷射导管穿过狭窄处,进行100%纯氧喷射通气。开放气道阶段是进行吻合术的关键时期。一旦气道打开,将一根6.5–7.5 Fr的气管插管插入远端气道并进行通气,等待气管插管穿过声门并连接到高流量氧气系统。当外科医生开始吻合时,采用氧气35-40 L/min,使氧气穿过手术区域提供到远处的气管。呼吸暂停氧合时间或吻合时间为16-28分钟,但这取决于外科医生的经验。如果呼吸暂停时间过长,会导致高碳酸血症或缺氧等不安全 (SpO2 <90%,血液pH<7.1)

在吻合口重建的10和20分钟(T2,T3),高流量氧气35-40 L/min时,PaO2 > 170 mmHg,血氧压较T0时间有显着改善。当出现急性呼吸性酸中毒时,T3时pH值最低,为7.17 ± 0.05,PaCO2 79.63 ± 13.39 、HCO3-显着增加,但在 T4 机械通气 15 分钟后立即恢复正常(表 7)。

气管切除和重建需要麻醉医师和外科医生共用气道。高流量的最大好处是创造一个自由的手术区域,在没有气管插管和通气的情况下不会中断手术,为吻合创造最佳条件。

呼吸暂停氧合是指患者在无肺运动时接受氧气的能力。在呼吸暂停开始时,氧从肺泡持续转移到循环中以满足身体的代谢需求。这种氧转移导致肺泡被排空和肺泡压力下降,其最初由于弹性反冲和二氧化碳从血液传输到肺泡而引起的肺泡容积损失补偿。这些补偿系统迅速耗尽,并且对于氧合,在上气道和肺泡之间出现压力梯度

M Egan等在一名患有声门下气管狭窄的无呼吸障碍女性患者的情况下,以40lL/min的流速通过开放气管输送100%氧气,提供例42min不间断手术。呼吸暂停期间血氧饱和度保持在96%以上。此外,动脉血气参数在可接受范围内。没有紧急中断手术或抢救机械通气。

调查由C.Lyons于2016年11月至2017年5月期间进行;M.卡拉汉等人在经鼻高流量氧窒息期间,28例患者接受了无管喉或气管手术。呼吸暂停持续时间中位数为19(15–24)分钟。4例患者出现短暂的85% -90%的缺氧。基线二氧化碳分压(PaCO2)为6.29(0.71 kPa),呼吸暂停15min后为9.44(1.12)kPa。作者发现,呼吸暂停期间提供的高流量鼻氧可能足以用于喉手术的无管麻醉。从患者停止呼吸直至SaO2比值小于90%计算安全呼吸时间。即使在没有膈肌运动或肺膨胀的情况下,肺泡中的氧仍持续交换。在呼吸暂停的情况下,健康患者大约有200-250 ml/min的氧气从肺泡进入血流。呼吸暂停时仅有8~20ml/min的二氧化碳进入肺泡。其余的二氧化碳由于其高水溶性而被缓冲在血流中。在理想条件下,健康人的PaO2定量维持在100 mmHg以上100分钟无需呼吸。然而,通气不良会显著导致高碳酸血症和酸中毒。许多作者已经证明,在无禁忌症的情况下,pH≥7.15的急性呼吸性酸中毒是可接受的安全限度。表8和表9的结果显示,在手术过程中,氧压力、氧饱和度(SpO2)在正常范围内。手术期间仅有一名低氧患者是右下肺炎患者,肺叶应通过远端气道支持氧气。呼吸暂停条件下的高流量氧能提供令人满意的气体交换,氧合指数比术前提高。手术野特别宽大,吻合条件最佳,无气管插管不中断手术。

结论

在气管切开重建术中,呼吸暂停条件下高流量氧气通过开放气管,可为无气管插管麻醉提供重要的气体交换。手术野完全宽敞,在最佳条件下吻合。无心律失常、气胸、血胸、肺气压性损伤等并发症。

为什么用高流量呼吸【醉仁心胸】气管切除重建术中采用经鼻高流量氧气行呼吸暂停氧合_https://www.jmylbn.com_新闻资讯_第4张

点评

气管切除重建术是治疗气管狭窄最佳的方法,其难点在于外科医生和麻醉医师需在患者的同一气道上进行手术和维持通气。麻醉医师如何保证患者通气安全和外科满意术野是一个值得挑战的技术。通常麻醉医师可以采取的维持通气的方法包括面罩、喉罩、气管插管、小导管喷射通气、体外循环、和体外膜肺氧合,经鼻高流量氧气(HFNO)可促进自主呼吸和呼吸暂停患者的氧合和通气。因其可延长困难气道患者的氧气去饱和时间,HFNO在气道管理中尤为突出。已有研究表明,使用HFNO可以在呼吸暂停患者中进行喉和气管的短小手术[1]。考虑到气管切除重建术中气管吻合阶段(呼吸暂停氧合)的特殊性,HFNO联合喉罩或气管导管用于此类手术的通气似乎是一个不错的尝试。

呼吸暂停氧合是指在没有肺运动的情况下对患者进行氧合的能力。在呼吸暂停开始时,为了满足身体的新陈代谢需求,氧从肺泡持续转移到血液。这种氧转移导致肺泡的排空和肺泡压力的下降,其最初通过弹性反冲引起的肺泡容积的减小和二氧化碳从血液到肺泡的运动来补偿。这些补偿机制迅速耗尽,并在上气道和肺泡之间形成压力梯度。演化的压力梯度引起气体的非线性增加,通常在低低呼吸暂停20秒后开始,并在150秒时达到最大值。这种氧气的质量运动被称为通气质量流量(AVMF),取代了以前的术语“扩散呼吸”和“呼吸暂停氧合扩散”,因为气体转移并不主要依赖于呼吸 这已被证明可以延缓人类低氧血症的发生。脱氮对于窒息氧合至关重要。它增加了肺泡中的氧含量,并最大限度地提高了当氧气转移到血液中时产生的负肺泡压力,从而使氧气大量流动。肺泡中的气体转移是由组织内的氧气消耗驱动的,使新陈代谢成为质量流动的动力。

通气不足被定义为不足通气从而导致高碳酸血症的发展。术语“低通气质量流量”可能比“AVFM”更准确地反映了高流量下的气体交换,“AVMF”最初指的是低流量呼吸暂停氧合,可被视为一种通气状态。二氧化碳运动可能会影响氧合机制,并且氧摄取和二氧化碳清除过程是相互依赖的。 呼吸暂停氧合依赖于氧气转移到血液引起的肺泡压力下降,但肺泡中的二氧化碳清除可能会加剧这种压力下降,并可能反过来促进二氧化碳从血液进一步转移到肺泡。

在呼吸暂停期间,二氧化碳的产生没有得到缓冲和排除的充分平衡,导致不可避免的高碳酸血症。在低流量条件下,由于肺泡和静脉pCO2的平衡以及Haldane效应,呼吸暂停的第一分钟会使血液中的二氧化碳水平升高到最高。此后,鉴于二氧化碳从肺泡向外部环境的转移不充分,二氧化碳从血液中通过肺泡排出的途径变得很困难。有研究表明,高流量通气比低流量通气可清除更多的二氧化碳[2,3]

该研究表明在气管切开重建术中高流量氧气通过开放气管,可为无气管插管麻醉提供重要的气体交换。手术且无明显心律失常、气胸、血胸、肺气压性损伤等并发症然而无论是既往相关的研究还是本文中的研究样本量偏小是不足之处这有待于更多的样本量和实验研究另外是否可以考虑监测连续经皮二氧化碳预防和早期发现危险水平的高碳酸血症

翻译杨琰

审校郭克芳

原始文献

Ly et al. Apnoeic oxygenation with high-fow oxygen for tracheal resection and reconstruction surgery.BMC Anesthesiology (2022) 22:73

 

参考文献

1. Patel A, Nouraei SA. Transnasal Humidifified Rapid-Insufflflation Ventilatory Exchange (THRIVE): a physiological method of increasing apnoea time in patients with diffificult airways. Anaesthesia 2015; 70: 323–9.

2. Lyons C, Callaghan M. Apnoeic oxygenation with high-fow nasal oxygen for laryngeal surgery: a case series. Anaesthesia. 2017;72(11):1379–87.

3.Egan M, Redmond KC. High-fow apnoeic oxygenation delivered by LMA or tracheal tube for tracheal resection and reconstruction surgery. Anaesthesia Cases. 2018;6(1):25–9. 



为什么用高流量呼吸【醉仁心胸】气管切除重建术中采用经鼻高流量氧气行呼吸暂停氧合_https://www.jmylbn.com_新闻资讯_第20张

仅供医学专业人士参考

关注古麻今醉视频号

关注麻醉及围术期领域新动态

为什么用高流量呼吸【醉仁心胸】气管切除重建术中采用经鼻高流量氧气行呼吸暂停氧合_https://www.jmylbn.com_新闻资讯_第21张

声明:古麻今醉公众号为舒医汇旗下,古麻今醉公众号所发表内容之知识产权为舒医汇及主办方、原作者等相关权利人所有。未经许可,禁止进行转载、摘编、复制、裁切、录制等。经许可授权使用,亦须注明来源。欢迎转发、分享。