怎么看尿流量尿动力学检查

新闻资讯2026-04-21 12:36:32


尿流动力学测试是一种侵入性操作。至少,必须插入导尿管和直肠记录线。医源性细菌性膀胱炎的风险约为 2%。研究表明,尿流动力学检测并非对所有尿漏患者都具有成本效益,因为它并不总是影响管理。例如,患有轻度压力性尿失禁的女性可以通过物理疗法迅速治愈,并且永远不需要进行尿动力学检查。

另一方面,可以公平地说,在没有压力性尿失禁的尿动力学诊断、排除逼尿肌过度活动和检查排尿困难的情况下进行尿失禁手术根本不是好的医疗实践。几项研究表明,仅主诉压力性尿失禁并不等同于患者患有尿动力学压力性尿失禁 (USI)。

正如在第 1 章中进一步解释的那样。9(USI 手术),咳嗽可引起逼尿肌收缩这一事实是将泌尿妇科建立为一个亚专业的主要刺激因素。妇科医生意识到,简单地对咳嗽时漏气的患者进行手术往往会失败。

因此,需要在“每个人的尿动力学”(由于手术的侵入性而没有保证)和仅适用于手术候选人的尿动力学之间采取中间立场。在实践中,真正的问题是这么多患者有混合症状。尿流动力学结果确实有助于剖析混合性尿失禁患者不同成分的相对严重程度,从而指导您确定治疗的主要方向。这在本章末尾的案例历史中有所描述。

一般来说,尿动力学在以下情况下非常值得(按降序排列):

  • 失禁手术失败的患者需要详细的尿动力学研究。

  • 有排尿困难症状或既往病史 (既往延长导尿管或术后或产后自行导尿)的患者需要进行排尿性膀胱测压。

  • 考虑手术的混合症状和膀胱膨出的患者应该进行详细的尿动力学检查,可能在原位使用环状子宫托(参见“隐匿性”压力性尿失禁)。

  • 混合压力和急迫性漏尿的患者需要用超声进行膀胱测压,以确定这两个问题的相对严重程度。

  • 物理治疗失败的 压力性尿失禁 症状 患者 应进行超声膀胱测压,检查是否存在未确诊的逼尿肌过度活动或不完全排空。

  • 膀胱训练和抗胆碱能治疗失败的纯急迫症状 患者还应进行超声膀胱测压,以寻找未确诊的压力性尿失禁成分或排空不全(后者可能因抗胆碱能药物而恶化)。

   术语“尿动力学”是一个通用短语,用于描述一组评估排尿反射充盈和排尿阶段的测试,以确定特定的异常情况。其中一些测试不是“生理测试”。例如,将导管插入尿道并将压力管插入直肠,然后期望患者像往常一样充盈和排空,可能无法“真实”了解该女性的膀胱功能。尽管如此,这些测试在过去 40 年中已由国际尿失禁协会 (ICS) 标准化委员会标准化,并在世界范围内以类似的方式进行。因此,异常以标准方式解释并且在临床实践中具有共同含义。

通常使用的测试包括以下内容:

  • 尿流率测量法 测量患者在私下排尿时排尿到马桶上的流速,该马桶连接到一个收集装置,该装置测量尿液落在该装置上的速率。

  • 简单的 膀胱测压法 在充盈周期中将一根导管插入膀胱测量压力,不校正腹压,在西方世界未广泛使用。

  • 双通道减影膀胱测压法 将压力记录线插入膀胱以及填充导管,以及记录填充周期的腹压记录线(直肠球囊)。从膀胱压力中减去腹压得到逼尿肌压力(见图4.1和后面的图)。

  • 排尿膀胱测压 与上述双通道膀胱测压相同,但患者被要求在压力线就位时排入尿流马桶,以便测量排尿期逼尿肌的收缩力。

  • 视频尿动力学:与上述排尿性膀胱测压相同,但使用不透射线的 X 射线造影剂来填充膀胱。该测试在 X 光部门进行,并在咳嗽和其他刺激时拍摄膀胱/尿道。在男性中,在排尿阶段继续拍摄,但 60% 的女性无法在这些公共条件下排尿。拍摄无效后的电影以检查残留。

  • 排尿性膀胱测压与超声 与排尿性膀胱测压相同,但在咳嗽和其他刺激期间进行超声成像,并在排尿后进行超声检查。

  • 尿道压力曲线 测试尿道外括约肌的功能,在选定的病例中进行。类似的信息可从泄漏点压力测试中获得。


图 4.1


怎么看尿流量尿动力学检查_https://www.jmylbn.com_新闻资讯_第1张

双通道膀胱测压示意图


膀胱日记和尿垫测试也是尿动力学评估的一部分。


膀胱测压设备的校准包括检查 100 cm 高的液柱是否产生 100 cmH 2 O 水压的压力读数,然后将传感器调零至大气压力(室内空气),以便零压力给出零读数。有关详细讨论,请参阅建议的进一步阅读。

当患者出现进行尿动力学研究时,您需要“排除故障”以确保当天可以正确执行测试。如果她有急性尿路感染的症状(排尿困难、尿臭、尿频、尿痛或血尿),则应推迟检查,进行中段尿培养,并开抗生素。这是因为在存在感染的情况下对下尿路进行器械检查会导致败血症和住院治疗。

在许多单位,第一次就诊日期和尿动力学测试日期之间存在很大的延迟。在这些情况下,您应该在开始测试之前快速查看患者的状态。如果患者在第一次就诊时接受了抗胆碱能治疗的治疗试验,则应明确指示她在试验前 1-3 周停药,具体时间取决于药物的半衰期(见第7章)。如果她仍在服用它们,那么膀胱测压可能无法诊断出逼尿肌过度活跃,因此可能需要推迟测试,以便停用抗胆碱能药片。

如果患者症状较轻,同时一直在接受物理治疗师或护士节制顾问的治疗,她的尿失禁可能会痊愈,不再需要进行检查。

当您准备进行测试时,请查看她的膀胱图表 ,看看在她的日常生活中,她是否主要患有压力性尿失禁或急迫性尿失禁,或两者兼而有之。你需要知道你在寻找什么。

这通常由尿动力学护士完成,她必须与患者建立信任关系。在我们的单位,同一位护士可能参与了她最初的病史记录,或者经常参与后续患者对治疗的反应。

尿流动力学测试确实涉及尿道和直肠导管通过时的一些轻微不适,但如果以有尊严和同情的方式进行,大多数患者会说这只是轻微的不适。在一个教学单元中,只有一名医学生应该“观看”手术过程。实际上,我们要求学生放置灯并在计算机上输入数据,这样他们就不会“观察”患者,而是积极参与。患者不喜欢感觉自己像碗里的金鱼,尤其是当他们被要求漏尿时。

在开始填充之前,护士或医生还会解释第一次排尿欲望、强烈排尿欲望和最大膀胱容量的概念(见下文)。重要的是让患者知道如果他们有明显的不适我们将停止填充。

为了通过膀胱导管,用无菌盐水清洗尿道;在尿道周围放置无菌单;利多卡因凝胶应用于尿道,然后将填充管和压力记录线(类似于中心静脉压测压线)插入尿道。通常,测压线插入远端导管孔中,因此患者仅感觉一根线进入尿道,然后测压线在进入膀胱后轻轻向后拉即可与填充线断开。然后将膀胱压力管连接到圆顶传感器单元,该单元馈入尿动力学设备的软件。见图4.5


图 4.5

怎么看尿流量尿动力学检查_https://www.jmylbn.com_新闻资讯_第2张

膀胱充盈线、膀胱压力线和直肠记录线



一些装置采用导管,该导管的远端嵌入了微型尖端压力传感器,因此不需要外部传感器,并且避免了在充满液体的系统中遇到的轻微人为延迟。这种微尖端换能器导管非常昂贵(每根导管 1500-1800 欧元)并且非常脆弱,因此它们可以持续大约 6 个月到 2 年的正常使用。充满液体的压力记录线是一次性物品,每套花费几欧元。每个单位通常根据成本决定使用哪种导管类型。

通过直肠导管 非常小的直肠传感器导管连接到腹压记录线(通常由制造商预先包装)。该管线涂有无菌润滑剂,然后放入直肠。不应将手指伸入患者的直肠;这是不愉快和不必要的。只需将线轻轻插入直肠壶腹约 3 厘米。作为替代方案,阴道气囊也可用于记录阴道内的压力,这是等效的,但这在经产妇女中通常不成功,因为气囊会在直立位置从阴道滑出。

将膀胱压力记录线和腹部压力记录线连接到传感器圆顶后,将流体插入管线以排除气泡,然后使用尿动力学程序的软件将记录压力归零。软件程序将从膀胱压力 (Pves) 中减去腹部压力 (Pabdo) 以产生真正的逼尿肌压力 (Pdet)。

然后用温暖的无菌水填充膀胱。通常使用中等充盈率 (75 ml/min),但神经病患者除外,在这种情况下需要较慢的充盈率 (25 ml/min)。蠕动泵用于防止在逼尿肌压力升高期间回流到膀胱中。以下参数在完整的尿动力学报告中很重要(下划线为斜体):

  • 免费 尿流率测定结果( 如果有)。

  • 初始残余尿量(患者进行游离尿流率测定后)—正常残余量 = 小于 50 毫升。

  • 是否注意到疼痛或导尿阻力(可能提示尿道狭窄)。

  • 一次想排尿,当患者第一次注意到她要找厕所时——正常 FDV = 150–200 毫升。

  • 通常会报告正常欲望,此时患者通常会停止工作并上厕所——正常欲望通常 = 300–350 毫升。

  • 最大膀胱容量,当患者不能再忍受任何液体时。虽然不应将患者逼到膀胱疼痛的地步,但我们举个例子,如果她在乡下开车,她会下车到灌木丛后面排尿——正常 MCC = 450-550 毫升。

  • 然后移除填充线(因为它的直径足以在接下来的步骤中阻碍尿液的流出)。

  • 进行仰卧咳嗽,同时目视检查尿道以寻找压力泄漏 。让患者放心,膀胱中只有无菌水,并且每次测试后都会丢弃所有亚麻布,因此她的泄漏不会损坏亚麻布。此时,可能会看到咳嗽引起的逼尿肌收缩。

  • 进行仰卧自来水激发,同时询问自来水的声音是否会增加紧迫感(并检查逼尿肌压力的升高)。

  • 然后患者直立。

  • 重新调整换能器水平,使它们保持在耻骨联合的水平(例如,为高个子患者提高它们)。

  • 进行直立自来水刺激(如仰卧)。

  • 进行直立咳嗽,双腿分开。再次向患者保证,如果有任何液体流出,那只是无菌水;膀胱中没有尿液,这是测试的重要部分。

  • 然后患者坐在 uroflow 马桶上;降低换能器,使其留在耻骨联合处,然后开始排尿性膀胱测压 。(报告Q Max,Q Ave

  • 最终残留由超声波(或视频尿动力学测试中的 X 射线)记录。

Abrams 等人在填充阶段可能做出的诊断。3 ]如下:

尿动力学压力性尿失禁 (USI)是指在没有逼尿肌收缩的情况下,腹压增加时液体不自主地渗漏(图4.6)。


图 4.6

怎么看尿流量尿动力学检查_https://www.jmylbn.com_新闻资讯_第3张

尿动力压力性尿失禁,FDV、SDV 和 MCC 正常,无逼尿肌收缩(Pves 和 Pdet 保持平坦)但有明显漏液伴咳嗽


逼尿肌过度活动 (DO) 是一种尿动力学观察,其特征是在充盈期逼尿肌不自主收缩,这可能是自发的或被激发的。最常见的图片是在充盈阶段看到的收缩期逼尿肌压力波(图4.7)。当流动的自来水的声音引起逼尿肌收缩时,可以看到同样的画面。


图 4.7

怎么看尿流量尿动力学检查_https://www.jmylbn.com_新闻资讯_第4张

在 FDV 和 MCC 看到的逼尿肌过度活动与逼尿肌收缩的收缩波。不会发生应力泄漏



一个不太为人所知的现象是逼尿肌过度活动,表现为膀胱压力逐渐线性上升(图4.8),在充盈停止后持续存在,并伴有尿急。这通常被称为“低依从性溶解氧”。


图 4.8

怎么看尿流量尿动力学检查_https://www.jmylbn.com_新闻资讯_第5张

低依从性逼尿肌过度活动


最后,收缩期过度活动的两种不太常见但重要的变体是咳嗽引起的 DO 和勃起引起的 DO。咳嗽引起的 DO 通常在描记图上非常清楚地看到(图4.9)。


图 4.9

怎么看尿流量尿动力学检查_https://www.jmylbn.com_新闻资讯_第6张

咳嗽引起的逼尿肌过度活跃



但勃起引起的 DO 通常需要仔细检查以排除伪影。一个常见的问题是当患者站立时腹部压力传感器没有重新调整(它没有重新定位到耻骨联合的水平)。如果一个矮个子患者从桌子上站起来,当她躺在沙发上时,她的耻骨可能会掉到远低于原来的位置;Pabdo 则变为负值。因为 Pves 减去 Pabdo 等于 Pdet,如果减去假阴性的 Pabdo,当患者站立时,您将得到假阳性的 Pdet(参见本章末作为病历的一部分给出的图4.18 )。

什么是感觉紧迫感 多年来,患有尿频、尿急和夜尿症的患者,其尿动力学测试显示膀胱稳定,但很早就有排尿欲望(少于 100-150 毫升)和小的最大膀胱容量(少于 400 毫升) ), 被诊断为 Jarvis [ 4 ] 有感觉紧迫感。这些患者经常发现膀胱充盈不舒服。最近,国际节制协会将此类患者称为“膀胱疼痛综合征”的轻度患者。最严重的是明显的间质性膀胱炎(见第12章,这些患者主要诉耻骨上疼痛)。较温和的一端现在称为膀胱过度敏感。

出现的问题是重复双通道膀胱测压(和动态膀胱测压,一种研究工具)将在至少三分之一的“感觉紧迫”病例中揭示逼尿肌过度活跃。

因此,对小容量稳定膀胱患者的管理通常是经验性的。一开始治疗逼尿肌过度活跃。如果患者没有反应,则进行膀胱镜检查以寻找间质性膀胱炎的特征是合理的。这个领域是有争议的。

充盈期无张力膀胱的特征 FDV非常晚期(超过 400-500 毫升)和非常大的 MCC(超过 650-750 毫升)的患者具有无张力膀胱的特征,但这种情况实际上不应该是直到进行排尿性膀胱测压才能诊断,以证明逼尿肌活动不足。

在继续描述排尿性膀胱测压之前,先对视频尿动力学测试 和双通道膀胱测压与超声 成像进行总结。

在排尿性膀胱测压期间,患者坐在带有压力传感器的尿流马桶上。当她私下排尿时,所有员工都离开了房间(图4.14)。测量最大和平均流速(Q Max 和 Q Ave),就像在自由尿流中一样,但也测量最大流量点的最大逼尿肌压力(Q Max 的 Pdet)。调查结果可能如下。


图 4.14


怎么看尿流量尿动力学检查_https://www.jmylbn.com_新闻资讯_第7张

排尿性膀胱测压


流出道梗阻中,Q Max 和 Q Ave 较低,但逼尿肌压力较高(逼尿肌试图克服梗阻,因此 Q Max 处的 Pdet 较高,称为“高压,低流量”)。

同样在流出道阻塞中,可以在 Pabdo 通道上看到腹部用力。

在活动不足的逼尿肌 中,Q Max 和 Q Ave 较低,但 Q Max 处的逼尿肌压力也较低(称为“低压、低流量”),这是失张力膀胱的一个特征。

流出道阻塞:在女性中,最常见的阻塞原因是先前的失禁手术或脱垂尿道(见图4.15)。具有低流速的高逼尿肌压力是典型的。如果可以产生足够的排尿效率(通常伴有腹部用力,产生间歇性排尿模式),则残余可能会很小。


图 4.15


怎么看尿流量尿动力学检查_https://www.jmylbn.com_新闻资讯_第8张

排尿性膀胱测压术中排尿模式受阻。注意 PAbdo(红线)非常高;患者最终排出 P Abdo 重新编码线,然后能够排尿

无张力膀胱 如前所述,膀胱无张力(FDV 和 MCC 体积大)的某些特征在充盈过程中可见,但在排尿过程中,出现了最重要的特征,即低逼尿肌压力和低流速。通常,存在大量残留。在女性中,这可能与糖尿病自主神经病变有关,也可能是骶髓水平神经病变的标志。

Detrusor Hyperactivity with Impaired Contractility (DHIC):这是老年女性逼尿肌活动不足的另一个原因。在充盈阶段,可能会有轻微的逼尿肌过度活动(见图4.16)。在排尿期间,在流动开始时会出现逼尿肌活动的初始爆发(逼尿肌活动过度),但它不会在整个流动过程中持续(收缩力受损)。这种情况被认为是由于供应脊髓的血管发生动脉粥样硬化变化,因此排尿反射的协调性相对受损(参见 Resnick 和 Yalla [ 7 ])。


图 4.16


怎么看尿流量尿动力学检查_https://www.jmylbn.com_新闻资讯_第9张

收缩力受损的逼尿肌过度活跃。注意在充盈阶段逼尿肌过度活跃,但在排尿期间收缩力持续不佳。Q Max 8 ml/s,Q Ave 3.5 ml/s,残余体积为 120 ml


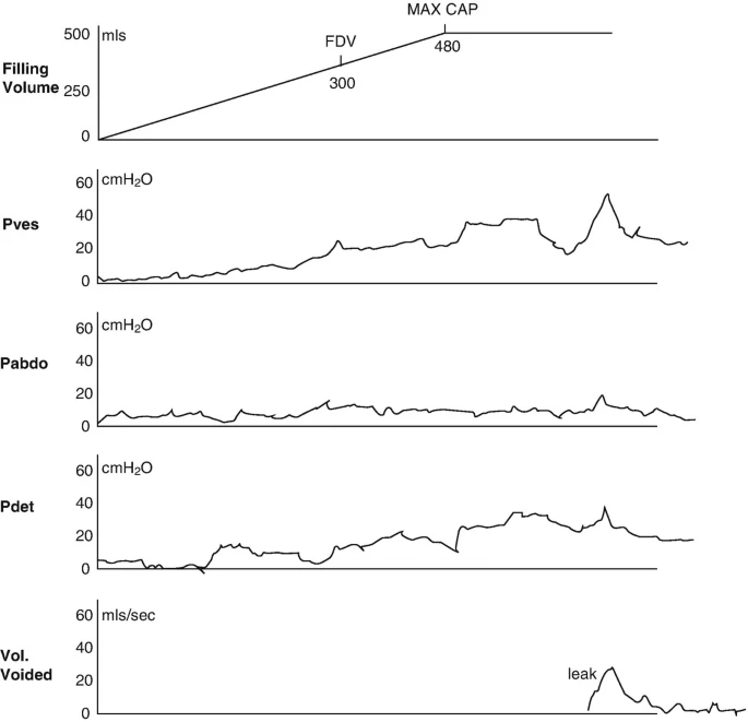
逼尿肌括约肌协同失调 (DSD):在患有多发性硬化症或脊髓损伤的女性中,您可能会在充盈期看到严重的逼尿肌过度活动,但随后在排尿期间,由于间歇性排尿,会出现非常高的逼尿肌压力和间歇性流量而不会出现腹部紧张尿道肌肉痉挛。这是由于发出排尿命令的冲动的脊髓中继协调不良。通常情况下,尿道应与逼尿肌收缩同步放松,但在 DSD 中,同步性因脊髓病变而受损(有关综述,请参见 Gonzales 等人 [ 8 ])。


图 4.17

怎么看尿流量尿动力学检查_https://www.jmylbn.com_新闻资讯_第10张

压力性尿失禁的尿道压力曲线测试

接下来,将导管重新插入膀胱并通过尿道取出,同时患者进行一系列短促的剧烈咳嗽(压力性 UPP)。即使在咳嗽时,Pura 也应该超过 Pves。对于大小便失禁的女性,Pves 在咳嗽期间反复超过 Pura,产生“负压力曲线,如描图右侧所示。”

在 200-250 毫升的体积下,膀胱中有一条简单的测压线(如膀胱测压设置),要求患者进行一系列逐渐加重的咳嗽或 Valsalva 动作。产生外鼻道渗漏所需的膀胱内压力(在没有逼尿肌收缩的情况下)称为腹腔渗漏点压力 (ALPP)。小于 60 cm 的 ALPP 被认为表明内在括约肌缺陷: 60-100 cmH 2 O 是模棱两可的,大于 100 cm 的压力通常被认为是由于尿道过度活动引起的泄漏。该测试存在争议,因为测试-再测试的可靠性很难记录,并且与其他失禁严重程度测量的相关性不是很好。

直到最近 10 年,三腔导管测试和放射学筛查才被用于诊断尿道憩室。使用带有两个气囊和三个内腔的昂贵导管将 X 射线对比染料压入尿道憩室,从而在 X 射线上勾画出它的轮廓。近10年来,MRI和三维超声已成为检测尿道憩室的首选检查方法。憩室超声图像见图4.18这种情况很少见(约 3% 的女性患有复发性 UTI 和排尿后滴尿。

图 4.18

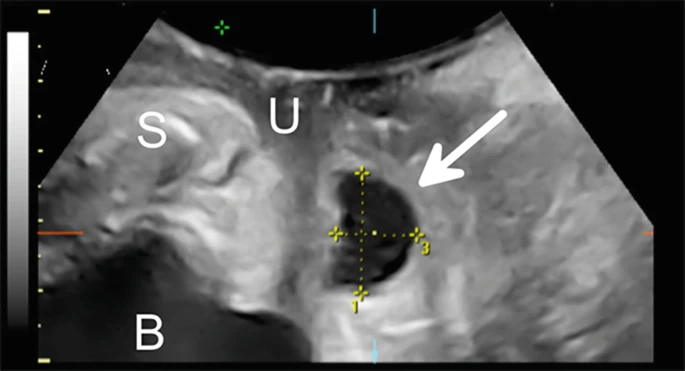
怎么看尿流量尿动力学检查_https://www.jmylbn.com_新闻资讯_第11张

经阴唇 3D 超声在正中矢状面(箭头)成像的尿道憩室。S, 耻骨联合; B、膀胱;你,尿道。由悉尼大学 Hans Peter Dietz 教授提供


膀胱阴道瘘在西方世界并不常见。管理的细节不在本基础文本的范围内。初步诊断是通过“三拭子测试”进行的;亚甲蓝染料经导管置入膀胱,然后将三支拭子置于阴道内:患者绕科室走动30分钟,然后小心取出拭子。如果任何拭子上有蓝色染料,则可能是膀胱阴道或尿道阴道瘘

Moore, K.H. (2022). How to Conduct Urodynamic Studies: Essentials of a Good Urodynamic Report. In: Urogynecology . Springer, Cham. https://doi.org/10.1007/978-3-030-93367-8_4