b超为什么探头发热B超检查时为什么要涂一层凉凉的凝胶?

新闻资讯2026-04-17 12:18:57

在日常体检或孕期检查中,医生通常会在我们的皮肤上涂抹一层透明的“凉凉胶”,然后使用超声探头进行检查。这层看似简单的凝胶,其实与B超医学成像有着十分密切的作用,而不仅仅是为了让探头更顺滑地滑动。

b超为什么探头发热B超检查时为什么要涂一层凉凉的凝胶?_https://www.jmylbn.com_新闻资讯_第1张

B超检查示意图。

为了更好理解这一切,我们先来了解一下B超的基本原理。

B超是什么?

B超(超声波检查)是一种通过高频声波(通常在2.5-5MHz之间)传播并反射回来的回声信号来生成图像的医学成像技术。超声波探头通过发射声波,穿透皮肤并在体内传播后返回信号,这些回声信号被探头接收并转换成图像。

由于超声波是机械波,它的传播会受到介质的影响,特别是空气。空气的存在会导致声波的反射,无法进入人体,造成图像模糊甚至无法成像。因此,必须使用一种能够填充探头与皮肤之间空隙的介质,来确保超声波顺利传导并提高图像质量。

b超为什么探头发热B超检查时为什么要涂一层凉凉的凝胶?_https://www.jmylbn.com_新闻资讯_第2张

超声耦合剂

相信这个时候,聪明的你已经想到了,B超检查涂抹的一层“凉凉胶”就是这种满足上述要求的这种介质。这层“凉凉胶”在医学上被称为超声耦合剂。相比润滑作用,它更关键的功能是实现“阻抗匹配”。什么是“阻抗匹配”呢?

阻抗匹配

声阻抗(acousticimpedance)是指声波在介质中传播时,介质对声波产生的阻碍作用,公式为:

Z=ρ×c

其中:

b超为什么探头发热B超检查时为什么要涂一层凉凉的凝胶?_https://www.jmylbn.com_新闻资讯_第3张为声阻抗(单位:Pa·s/m或雷尔rayls);

b超为什么探头发热B超检查时为什么要涂一层凉凉的凝胶?_https://www.jmylbn.com_新闻资讯_第4张为介质的密度(单位:kg/m³);

b超为什么探头发热B超检查时为什么要涂一层凉凉的凝胶?_https://www.jmylbn.com_新闻资讯_第5张为声速(单位:m/s)。

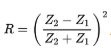
一般来说,人体软组织的声阻抗Z1≈1.5×105rayls,空气的声阻抗Z2≈0.000407rayls。如果两种物质的声阻抗差异过大,声波会在两者界面发生强烈反射。通过计算反射系数b超为什么探头发热B超检查时为什么要涂一层凉凉的凝胶?_https://www.jmylbn.com_新闻资讯_第6张,我们可以得出空气与人体软组织之间的反射系数R≈99.9%,这意味着如果没有耦合剂,几乎所有超声波都会被空气反射回探头,无法成像。

b超为什么探头发热B超检查时为什么要涂一层凉凉的凝胶?_https://www.jmylbn.com_新闻资讯_第7张

常见阻抗示意图

因此,超声耦合剂的任务是提供与人体组织相近的声阻抗(也就是阻抗匹配),以减少反射,让声波顺利进入人体。

超声耦合剂的配方与特性

现代超声耦合剂通常由水、甘油、丙二醇(保湿剂)、卡波姆(增稠剂)等成分组成。它们的比例经过严格设计,既能保证声学性能,又能确保对皮肤安全无刺激。超声耦合剂的pH值通常被调节为中性,以避免对皮肤造成刺激或损伤。此外,优质的耦合剂还需要具有较高的稳定性,能够在检查过程中保持稳定的性能,不易干涸或挥发。

b超为什么探头发热B超检查时为什么要涂一层凉凉的凝胶?_https://www.jmylbn.com_新闻资讯_第8张

现代超声耦合剂示意图。

为什么不能直接使用水或油?

很多人可能好奇,为什么不能直接用水或油来充当耦合剂呢?早期的超声检查确实使用过橄榄油作为耦合介质(1942年在奥地利首次用于超声检查),但后来被淘汰。

原因是:

1、水的阻抗较低且易蒸发,容易形成气泡导致信号失真;

2、油脂虽然能润滑,但可能与探头材料发生反应并刺激皮肤;

总结

B超检查中涂抹的“凉凉凝胶”,全称为超声耦合剂,并不是简单的水或油,而是由多种物质按照特定比例配比的凝胶。它的核心功能是通过阻抗匹配确保超声波能量的高效传输,帮助医生获得更清晰、准确的检查图像。下次当你躺在B超检查床上,感受到那层凉凉的凝胶时,不妨可以想一想,这背后复杂的物理原理和技术发展,正是现代医学与科学进步的体现。

一些有趣的冷知识

1、海豚的天然耦合剂:海豚皮下脂肪就是天然的耦合剂,帮助其声呐系统高效传输声波,效率高达99.7%。

2、NFC的原理:手机的NFC功能也依赖于阻抗匹配原理,通过确保信号的顺畅传输来实现数据交换。

b超为什么探头发热B超检查时为什么要涂一层凉凉的凝胶?_https://www.jmylbn.com_新闻资讯_第9张

手机NFC示意图。

来源:科普中国微信公众号