心电图机器怎么看【心闻速递】基于机器学习的心电图生物标志物检测显性甲状腺功能亢进

新闻资讯2026-04-21 10:28:10

心电图机器怎么看【心闻速递】基于机器学习的心电图生物标志物检测显性甲状腺功能亢进_https://www.jmylbn.com_新闻资讯_第1张
心电图机器怎么看【心闻速递】基于机器学习的心电图生物标志物检测显性甲状腺功能亢进_https://www.jmylbn.com_新闻资讯_第2张
心电图机器怎么看【心闻速递】基于机器学习的心电图生物标志物检测显性甲状腺功能亢进_https://www.jmylbn.com_新闻资讯_第3张

甲状腺功能亢进(甲亢)是一个全球性的医疗保健问题,显性甲亢的全球患病率为0.2%~1.3%。未经干预的甲亢增加了发病风险,包括心律失常、卒中和心力衰竭,并引起紧急的危及生命的并发症,如甲状腺危象。早期有效治疗甲亢可预防不可逆的并发症和死亡事件。尽管显性甲亢会对患者的预后产生不良影响,但临床并不常规行甲状腺功能检查(TFT)。此外,由于甲亢症状不典型,往往会忽略这一诊断。心电图(ECG)是一种常用的筛查手段,且甲状腺功能与ECG之间存在相关性,但临床医生很难通过细微的心电图改变来识别甲亢。为了早期识别甲亢,研究者开发和验证了一种基于深度学习模型(DLM)的心电图生物标志物。

心电图机器怎么看【心闻速递】基于机器学习的心电图生物标志物检测显性甲状腺功能亢进_https://www.jmylbn.com_新闻资讯_第4张

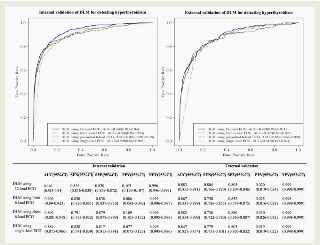
该项多中心回顾性队列研究纳入了在24h内行ECG和TFT检查的患者。研究团队使用113 194名患者的174 331份ECG进行模型的开发和验证,从另一家医院的33 478名患者中提取了48 648份ECG进行外部验证。为检测显性甲亢,研究者应用500 Hz的原始ECG数据,开发了12导联、6导联(肢体导联、胸前导联)和单导联(I导联)ECG的DLM,应用受试者工作特征曲线下面积(AUC)计算模型内部和外部验证集中的性能。12导联ECG的AUC,在内部验证中为0.926(0.913-0.94),外部验证中为0.883(0.855-0.911)。6导联和单导联的AUC,在内部验证中为0.889-0.906,在外部验证为0.847-0.882。


为实现对显性甲亢的非侵入性筛查,该团队使用ECG开发了一种DLM,这一模型可能有助于实现疾病的早期诊断、改善患者预后。

心电图机器怎么看【心闻速递】基于机器学习的心电图生物标志物检测显性甲状腺功能亢进_https://www.jmylbn.com_新闻资讯_第5张

图解摘要

心电图机器怎么看【心闻速递】基于机器学习的心电图生物标志物检测显性甲状腺功能亢进_https://www.jmylbn.com_新闻资讯_第6张

图1 研究流程图

为开发深度学习模型并测试内部性能,研究团队获取了韩国一家三级教学医院(亚洲大学医学中心,A医院)1994年1月1日至2020年12月31日的患者数据,使用社区二级医院(仁川世宗医院,B医院 )2017年3月1日至2021年5月31日的数据进行外部性能测试。入选人群在该医院就诊并至少接受1次标准12导联心电图和甲状腺功能检查,二者检查时间不超过24h。研究团队获得了两家医院的甲状腺功能检查值、年龄、性别和数字存储的心电图数据,分别排除了21名和7名性别或年龄信息缺失的患者,最终A、B医院分别纳入113 194和33 478人。为了进行开发、调整和内部验证,我们将A医院的患者划分为7:12。

心电图机器怎么看【心闻速递】基于机器学习的心电图生物标志物检测显性甲状腺功能亢进_https://www.jmylbn.com_新闻资讯_第7张

图2 检测甲状腺功能亢进的深度学习模型架构

深度学习模型仅使用12导联心电图波形数据作为预测变量;Butterworth通滤波器对数据进行预处理,去除基线游走噪声<0.5 Hz的数据;使用标准归一化方法处理数据;将两侧修剪0.9s,去除心电图开始和结束时的噪声。最后,使用4096大小的向量作为深度学习模型的输入。该模型使用ResNet的六个残差块,每个残差块由卷积神经网络、批归一化、ReLU激活函数和脱落层组成。滤器尺寸设定为21;总共应用6个残差块,每通过3个残差块时,输入长度就会减少一半;每个心电图导联具有不同的ResNet模型。在残差块结束时,合并输出通道平均值并连接每个导联的所有输出。


dense层利用串联输出预测显性甲亢的发生概率(0-1),GridSearch对上述超参数进行选择。

心电图机器怎么看【心闻速递】基于机器学习的心电图生物标志物检测显性甲状腺功能亢进_https://www.jmylbn.com_新闻资讯_第8张

表1 队列的基线资料

心电图机器怎么看【心闻速递】基于机器学习的心电图生物标志物检测显性甲状腺功能亢进_https://www.jmylbn.com_新闻资讯_第9张

图3 深度学习模型检测甲状腺功能亢进的性能

为了最大限度地提高深度学习模型在各种情况下的应用,我们将12导联深度学习模型修改为部分导联深度学习模型,仅应用6个肢体导联(I、II、III、aVL、aVR和aVF导联)、6个胸前导联(V1、V2、V3、V4、V5和V6)或单导联(I导联)心电图。使用内部和外部验证集验证模型,性能指标为受试者工作特征曲线下面积、灵敏度、特异性、阴性预测值和阳性预测值。为计算性能指标,在开发数据集中使用约登J统计计算了临界值,并将临界值应用于内部和外部数据集,使用De-long法的Sun-Su优化确定了95%可信区间。

心电图机器怎么看【心闻速递】基于机器学习的心电图生物标志物检测显性甲状腺功能亢进_https://www.jmylbn.com_新闻资讯_第10张

图4 正常人群发生甲状腺功能亢进的累积风险

假设在正常患者中,模型表现为高概率即为预测显性甲亢的生物标志物。为了验证这一假设,我们对初始甲状腺功能检查正常并进行随访复查的6800名患者进行了亚组分析,这些患者来自内部验证数据集,并与初始甲状腺功能检查至少间隔4周。我们在开发数据集中使用约登J统计确定临界值,模型概率大于或等于临界值的组为高危组,其他为低危组。


应用Kaplan–Meier法分析了高危组(n = 6323)和低危组(n = 568)患者在36个月内是否会发生新的显性甲亢,使用对数秩检验比较了两条生存曲线之间的统计学差异。高危组中30人表现为显性甲亢,低危组145人表现为显性甲亢。高危人群中显性甲亢的发生率显著更高(5.28%vs. 2.33%,P<0.001)。

心电图机器怎么看【心闻速递】基于机器学习的心电图生物标志物检测显性甲状腺功能亢进_https://www.jmylbn.com_新闻资讯_第11张
心电图机器怎么看【心闻速递】基于机器学习的心电图生物标志物检测显性甲状腺功能亢进_https://www.jmylbn.com_新闻资讯_第12张

参考文献:

Byungjin Choi, Jong-Hwan Jang, Minkook Son, Min Sung Lee, Yong-Yeon Jo, Ja Young Jeon, Uram Jin, Moonseung Soh, Rae Woong Park, Joon-myoung Kwon, Electrocardiographic biomarker based on machine learning for detecting overt hyperthyroidism, European Heart Journal - Digital Health, 2022;, ztac013

识别下方二维码回复“心闻速递246”即可获得文献原文

心电图机器怎么看【心闻速递】基于机器学习的心电图生物标志物检测显性甲状腺功能亢进_https://www.jmylbn.com_新闻资讯_第13张
心电图机器怎么看【心闻速递】基于机器学习的心电图生物标志物检测显性甲状腺功能亢进_https://www.jmylbn.com_新闻资讯_第14张
心电图机器怎么看【心闻速递】基于机器学习的心电图生物标志物检测显性甲状腺功能亢进_https://www.jmylbn.com_新闻资讯_第15张


往期精彩链接

本公众号回复“心闻速递”查看栏目合集

心电图机器怎么看【心闻速递】基于机器学习的心电图生物标志物检测显性甲状腺功能亢进_https://www.jmylbn.com_新闻资讯_第16张

不想错过心脏之声的推送?

戳文章顶部蓝字“哈特瑞姆心脏之声”关注我们

并点击右上角“···”菜单

选择设为星标“置顶公众号”

心电图机器怎么看【心闻速递】基于机器学习的心电图生物标志物检测显性甲状腺功能亢进_https://www.jmylbn.com_新闻资讯_第17张

心电图机器怎么看【心闻速递】基于机器学习的心电图生物标志物检测显性甲状腺功能亢进_https://www.jmylbn.com_新闻资讯_第18张