微量注射泵怎么调微量泵的使用及常用血管活性药物的配比

新闻资讯2026-04-21 10:10:17
微量注射泵怎么调微量泵的使用及常用血管活性药物的配比_https://www.jmylbn.com_新闻资讯_第1张

 抢救急性心衰患者时,为了匀速、精确、定量地把药物泵入体内,经常需要使用微量泵,能增加患者用药的安全系数,本篇介绍微量泵的使用及常用血管活性药物的配比。


微量注射泵怎么调微量泵的使用及常用血管活性药物的配比_https://www.jmylbn.com_新闻资讯_第2张
微量注射泵怎么调微量泵的使用及常用血管活性药物的配比_https://www.jmylbn.com_新闻资讯_第3张

微量注射泵怎么调微量泵的使用及常用血管活性药物的配比_https://www.jmylbn.com_新闻资讯_第4张

    微量泵主要有20mL和50mL两种装药注射模式,本文主要介绍50mL模式,即相应药物加溶液媒介如生理盐水或葡萄糖注射液等稀释至50mL使用。

    微量泵结构示意图如上图所示,自动走速范围为0.1-99.9mL/h,图中标志的按键用于调速,其中快速数字设置键用于调节小数点前的数字、慢速键用于调节小数点后的数字,需要调速时先按停止键,再使用数字键调到相应的速度,再按启动键。

    按下快进键则启动快推模式,此时速度大约为200mL/h,将总量查询键与快进键双按,可显示已推注的总量。


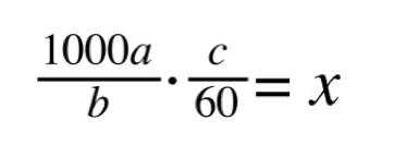
微量泵的参数、使用公式的推导

微量注射泵怎么调微量泵的使用及常用血管活性药物的配比_https://www.jmylbn.com_新闻资讯_第5张

    此为微量泵的标准公式,但不易于理解,并且部分药物的使用与患者体重相关,因此从以下两个公式来推导。

  • 当药物速度为X1时,与体重无关,根据“速度=药物剂量÷时间”可得:

公式1. X1=1000a ÷ [(b÷c)×60]

  • 当药物速度为X2时,与体重相关,根据“速度=药物剂量÷时间÷体重”可得:

公式2. X2=1000a ÷ [(b÷c)×60] ÷ W

微量注射泵怎么调微量泵的使用及常用血管活性药物的配比_https://www.jmylbn.com_新闻资讯_第6张


1
当b=50时,简化公式1可得:


①a=3X1/c,令c=1时,则a=3X1,即:(3X1)mg药物稀释至50mL,泵速1mL/h时,药速为X1μg/min。

    举例:

    硝酸甘油15mg+NS→50ml iv泵 1-40mL/h(避光)

    推理:硝酸甘油起始走速X1=5ug/min,用a=3X1=15mg药物配生理盐水至50mL,泵速1mL/h时对应药速5ug/min,最高可用至200ug/min,对应的泵速即为40mL/h.

微量注射泵怎么调微量泵的使用及常用血管活性药物的配比_https://www.jmylbn.com_新闻资讯_第7张

②c=3X1/a,已知X1的范围,规定a,则可计算出c的范围。

    举例:

    硝普钠50mg+NS→50ml iv泵 0.6-12mL/h(避光)

    推理:硝普钠的常见规格为50mg/支,直接使用50mg配,即a=50mg,查阅说明书可得X1常用范围为10-200ug/min,根据c=3X1/a计算出c的范围为0.6-12mL/h。

微量注射泵怎么调微量泵的使用及常用血管活性药物的配比_https://www.jmylbn.com_新闻资讯_第8张

X1=ac/3,令c=3,则X1=a,即:不管用多少剂量的药物配成的溶液,走速3mL/h时,X1=a。

    举例:

    硝普钠50mg+NS→50ml iv泵 0.6-12mL/h(避光)

    推理:硝普钠的常见规格为50mg/支,直接使用50mg配,即a=50mg,那走速3mL/h时,X1=a=50ug/min,可得泵速与药速的比值为0.06,硝普钠常用药速为10-200ug/min,乘以比值0.06,可得泵速0.6-12mL/h。


2
当b=50时,简化公式2可得:

ac=(3W)X2,令a=3W时,c=X2,即:(3W)mg药物稀释至50mL,泵速1mL/h时,药速为1μg/(min·kg)

    举例:

    多巴胺180mg+NS→50mL iv泵 3-10mL/h(W=60kg为例)

    推理:假设患者体重为60kg,用a=3W=180mg多巴胺配生理盐水至50mL,泵速1mL/h对应药速为1ug/(min·kg),常用药速为3-10ug/(min·kg),对应的泵速即为3-10mL/h.

微量注射泵怎么调微量泵的使用及常用血管活性药物的配比_https://www.jmylbn.com_新闻资讯_第8张

    灵活运用公式:

    去甲肾上腺素18mg+NS→50mL iv泵 2-10mL/h(W=60kg为例)

    推理:去甲肾上腺素常用药速为0.2-1ug/(min·kg),常小剂量给药,因而可将系数3缩小10倍,用a=0.3W=18mg药物配生理盐水至50mL,泵速1mL/h对应药速0.1μg/(min·kg),故药速0.2-1ug/(min·kg)对应泵速2-10mL/h。


急性心衰常用血管活性药物盘点

微量注射泵怎么调微量泵的使用及常用血管活性药物的配比_https://www.jmylbn.com_新闻资讯_第10张


  • 本表的药物配比均以微量泵50mL装药注射模式为例;

  • 本表中药速涉及体重的均以60kg体重为例;

  • 本表罗列药物常用剂量、走速,临床应用视疾病、病情的不同而有所偏差;

  • 本表中药物的使用适应症、禁忌症、注意事项详见说明书。


总结

  1. 微量泵走速范围:0.1-99.9mL/h,快推可达200mL/h。

  2. (3X1)mg药物稀释至50mL,泵速1mL/h时,药速为X1μg/min。

  3. (3W)mg药物稀释至50mL,泵速1mL/h时,药速为1μg/(min·kg)。

  4. 根据临床实际情况、病情需要,可以通过增加或减小系数的倍数,灵活运用公式,控制药物的稀释浓度。




微量注射泵怎么调微量泵的使用及常用血管活性药物的配比_https://www.jmylbn.com_新闻资讯_第11张


「有用就扩散」

来源|好医师[ ID:haoyishi520 ]
版权归原作者所有,如有违规、侵权请联系我们
微量注射泵怎么调微量泵的使用及常用血管活性药物的配比_https://www.jmylbn.com_新闻资讯_第12张

大家都在看



低血压

葡萄膜炎

低镁血症

低磷血症

胎儿心脏彩超

未分化结缔组织病

神经科普之脑震荡

病态窦房结综合征

急性肠系膜血管栓塞

一文读懂心源性休克

一文详解干燥综合征

中国1120心梗救治日

Bowen's,你见过吗?

什么是疣?(寻常疣)

浅谈Takotsubo综合征

HELLP综合征的前世今生

POEMS综合征是咋回事?

“Alport综合症”是咋回事

我是个护士,你会爱我多久?

冠心病,看这篇文章就够了!

一分钟让你知道什么是白内障

新冠防控方案 (第八版)PPT

美国单纯按压式心肺复苏中文版视频

脑动脉瘤的发生和治疗动画及护理大全

学会这项技术,关键的时候是可以救命

5.17世界高血压日丨健康血压,健康人生

如果不是因为乳腺增生,也许我们已经·····

【420痛风日】关于痛风,这篇文章说透了!

呼吸道合胞病毒是个什么鬼?你们听过吗?

别再催核酸报告了,看完这篇文章就明白了!

什么是声带白斑?哪些人群容易得声带白斑?

世界早产儿日: 母乳喂养为早产宝宝赋爱·赋能

情人节“作”死指南,让医生后怕的啪啪啪案例!

世界防治结核病日| 终结结核流行,自由健康呼吸

什么是阿斯伯格综合症(Asperger’s Syndrome)?

“世界艾滋病日”——“携手防疫抗艾,共担健康责任”

高三的儿子坚持要学医,医生父亲连夜写出这份知情同意书

注意!反腐新规:医生不许进娱乐场所,办公室不许有未拆封烟酒

“春天到了,我却闻不到花香” —性幼稚伴有失嗅的卡尔曼综合征

抢救几个小时,没保住23岁小伙的命!一定要学点急救知识,关键时刻能救命!



看完记得分享哦


服务医生,期待支持!

《HAOYISHENG》为旗下超 100万读者诚邀广大医友分享您的佳作,让更多医生受益,欢迎广大医师投稿:980151516@qq.com,另如有版权争议或频道建议与需要均可在频道后台留言或直接加小编QQ(980151516)或者微信沟通,谢谢!

微量注射泵怎么调微量泵的使用及常用血管活性药物的配比_https://www.jmylbn.com_新闻资讯_第13张