化学发光仪哪些品牌好罗雅贝西、安图、迈瑞、亚辉龙、希森美康、透景、新产业等16家化学发光仪大盘点!

新闻资讯2026-04-26 00:38:12

化学发光仪哪些品牌好罗雅贝西、安图、迈瑞、亚辉龙、希森美康、透景、新产业等16家化学发光仪大盘点!_https://www.jmylbn.com_新闻资讯_第1张


化学发光仪哪些品牌好罗雅贝西、安图、迈瑞、亚辉龙、希森美康、透景、新产业等16家化学发光仪大盘点!_https://www.jmylbn.com_新闻资讯_第2张

化学发光免疫分析结合了化学发光的高灵敏度和免疫分析的高特异性,在临床检验,药物分析,环境监测等领域得到了广泛应用。

化学发光仪哪些品牌好罗雅贝西、安图、迈瑞、亚辉龙、希森美康、透景、新产业等16家化学发光仪大盘点!_https://www.jmylbn.com_新闻资讯_第3张


化学发光分析是利用化学发光反应的发光现象,对化学发光物质由激发态跃迁回基态时发出的光信号进行测量的一种分析方法。根据免疫标记物不同,化学发光分析种类大致分为以下三类:

 

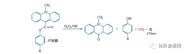
直接化学发光免疫分析


直接化学发光,其特点是采用吖啶酯、异鲁米诺衍生物ABEI等作为示踪物质标记抗原或抗体分子形成发光标记物,采用纳米微球为固相载体的分离方式,通过碱性液诱导结合标记物发光,并通过测定发光强度实现对超微量物质的定量分析。

 

化学发光仪哪些品牌好罗雅贝西、安图、迈瑞、亚辉龙、希森美康、透景、新产业等16家化学发光仪大盘点!_https://www.jmylbn.com_新闻资讯_第4张

吖啶酯直接化学发光反应

化学发光仪哪些品牌好罗雅贝西、安图、迈瑞、亚辉龙、希森美康、透景、新产业等16家化学发光仪大盘点!_https://www.jmylbn.com_新闻资讯_第5张

ABEI直接化学发光反应

 

雅培

化学发光仪哪些品牌好罗雅贝西、安图、迈瑞、亚辉龙、希森美康、透景、新产业等16家化学发光仪大盘点!_https://www.jmylbn.com_新闻资讯_第6张



Alinity ci是雅培全新一代Alinity™家族中的一员。其中“Alinity c”是生化诊断模块,而“Alintiy i”则是免疫诊断模块。此外,Alinity™诊断系统还包括血液学、血液筛查、分子诊断、床旁检测、信息化系统[ii]等关键的实验室学科,能够连接并整合雅培各类解决方案,其特性包括:

 

一致性——Alinity™系统内采用通用且直观的操作处理方式,例如加载样本和试剂、优先处理急诊样本、更换溶液和使用用户界面等,以用户为中心的设计,更利于规范实验室,并帮助同一医院实现局域网内不同科室不同分院检验设备的统一网络操作和管理,从而有效减少人员培训成本。

 

灵活性——可扩展设计增加了更多轨道连接选项,从而提供更多的通量和容量,允许实验室随着体量的增长轻松添加模块,而无需更换系统,轻松适应环境变化和不可预测性。

 

高效性——有效发挥实验室空间能效,通过结合堆叠试剂储存和样本处理区来节省空间设计,不仅能增加样本和试剂的负载能力,更能使得实验室在每平方米空间内执行更多的测试。


可信性——内置保护措施可防止出现试剂混淆、重新装载及探针碰损等人为错误。同时,成熟的技术更能确保高品质检测项目性能,提高系统整体性能的可信性。

 

 

化学发光仪哪些品牌好罗雅贝西、安图、迈瑞、亚辉龙、希森美康、透景、新产业等16家化学发光仪大盘点!_https://www.jmylbn.com_新闻资讯_第7张

 

我想从这个图就可以看出来,雅培终于倾听到市场的需求,开发出可以4模块连接的模块机系统,以应对更高速的生化免疫需求了。目前最多4模块的Alinity iiii,速度高达200*4=800速每小时,足够满足绝大多数高速免疫客户的需求了。小编了解到,雅培诊断试剂已传染病检测为主,在我国各大医院的传染病系列占有率很高。

 

西门子

化学发光仪哪些品牌好罗雅贝西、安图、迈瑞、亚辉龙、希森美康、透景、新产业等16家化学发光仪大盘点!_https://www.jmylbn.com_新闻资讯_第8张



简便、不停机操作

清晰度触摸屏,操作界面更直观、人性化

不停机添加样本、试剂、耗材等

自动日常维护保养、无需月保养清洁流程, 改进了工作流程

无需日常启动流程

 

准确、及时的检测结果

每小时高达240 个检测,18 分钟出第一个结果, 可以轻松应付高峰时段工作量

专用的急诊通道保证了在任何时间急诊样本获得优先处理

检测菜单包括:性激素检测、甲状腺功能、肿瘤标志物、心脏标志物、传染性疾病、贫血、代谢和药物浓度监测等

吖啶酯技术的不断更新丰富了检测菜单,提高了检测性能

一次性吸头减少了样本之间的交叉感染

自动稀释,重复和反射检测功能

  

强大、灵活的解决方案 

可与Aptio,ADVIA® WorkCell,ADVIA® LabCell,和ADVIA® CentraLink 连接,为样本和报告管理提供理想的解决方案

宽带连接支持自动软件下载


透景

化学发光仪哪些品牌好罗雅贝西、安图、迈瑞、亚辉龙、希森美康、透景、新产业等16家化学发光仪大盘点!_https://www.jmylbn.com_新闻资讯_第9张



透景专用典雅白SMART6500、TESMI i100及TESMI i200,采用吖啶酯直接化学发光技术,具有发光效率高、稳定性好、影响因素少等优点。而且透景化学发光兼容试剂具有检测项目齐全、性能优异、性价比更高,在满足检验科室需求的基础上能进一步降低科室成本等优点。

 

新产业

化学发光仪哪些品牌好罗雅贝西、安图、迈瑞、亚辉龙、希森美康、透景、新产业等16家化学发光仪大盘点!_https://www.jmylbn.com_新闻资讯_第10张



新产业是专业从事研发、生产及销售全自动化学发光免疫分析仪器及配套试剂的企业。MAGLUMI® X8化学发光免疫分析系统据称是全球最快的检测速度600测试/小时,新产业作为是中国第一家获得美国FDA准入的化学发光厂家,现拥有111个化学发光注册项目,全面覆盖了甲状腺功能、肿瘤标志物、性腺、传染病、心血管及心肌标志物等。让小编记忆犹新的是,每次在展会上都会看见新产业展位的口号,中国市场装机量最大的化学发光厂家。

 

亚辉龙

化学发光仪哪些品牌好罗雅贝西、安图、迈瑞、亚辉龙、希森美康、透景、新产业等16家化学发光仪大盘点!_https://www.jmylbn.com_新闻资讯_第11张



产品特点:

磁微粒吖啶酯直接化学发光分析系统

测试速度最大300个测试/小时

30个2-8℃冷藏试剂位

140个样本位,15个急诊位

在线孵育孔230个,动态接触式固体恒温槽加热

高效智能的反应杯(RV)阵列

独立的四重磁分离机构

非接触式涡流混匀器

先进的机械抓手模块

便利的样本架(5个样本位/架)含手柄结构

智能的软件系统

完美的自身抗体检测实验室解决方案

完善的传染病特色菜单

设备维护简单,售后服务完备

 

iFlash 3000化学发光免疫分析仪是一款采用磁微粒吖啶酯化学发光技术,应用于临床检验、辅助诊断的免疫测试设备,据称是中国第一台超高速吖啶酯直接化学发光免疫分析仪。

 

电化学发光免疫分析


电化学发光免疫分析是以三联吡啶钌作为示踪物质标记抗原或抗体,并采用纳米微球为固相载体的分离方式,以三丙胺作为电子供体,通过电场作用诱导结合标记物发光,通过测定发光强度实现对超微量物质的定量分析。

 

化学发光仪哪些品牌好罗雅贝西、安图、迈瑞、亚辉龙、希森美康、透景、新产业等16家化学发光仪大盘点!_https://www.jmylbn.com_新闻资讯_第12张

电化学发光反应

 

罗氏

化学发光仪哪些品牌好罗雅贝西、安图、迈瑞、亚辉龙、希森美康、透景、新产业等16家化学发光仪大盘点!_https://www.jmylbn.com_新闻资讯_第13张



适用于高通量免疫检测的cobas e 801,单模块即可提供48个试剂通道,检测速度达300测试/小时,并可实现1-4个模块的灵活拓展,满足实验室多种需求。cobas® 8000系统最多可配置4个cobas e 801模块,提供高通量的免疫综合解决方案;最多可提供192个试剂通道,每小时进行1,200个测试,极大缩短了样本周转时间。此外,cobas e 801模块在相同占位上提供了几乎两倍于当前cobas e模块的通量和试剂通道数量,这意味着全新的cobas e 801几乎使免疫检测水平翻倍,有效提升了实验室检测效率。

 

cobas e 801还可实现在不停机的情况下即可在常规操作运行中连续装载和卸载检测试剂盒、辅助试剂和耗材,稳定运行时间超过99%,其优秀的持续检测能力有助于转化为更高的实验室检测效率。配套的即开即用型试剂节省了操作时间,无需任何预处理,平均在机稳定期达112天;仅需两点定标,批定标稳定期达3个月,有效降低了使用成本。

 

我们都知道对于检验科及大型实验室,时间就是产能,检验效率和检验设备的连续工作时间成正比,罗氏的cobas e 801将帮助实验室实现可持续发展。

 

普门

化学发光仪哪些品牌好罗雅贝西、安图、迈瑞、亚辉龙、希森美康、透景、新产业等16家化学发光仪大盘点!_https://www.jmylbn.com_新闻资讯_第14张


  

就在本月5号,普门科技在上交所科创板成功上市,成为第二家IVD科创板上市企业。普门科技公司是一家研发驱动型的医疗器械企业,设立以来专注于治疗与康复解决方案和体外诊断产品线的开发及技术创新,目前主营业务为治疗与康复产品、体外诊断设备及配套试剂的研发、生产和销售。


联众泰克

化学发光仪哪些品牌好罗雅贝西、安图、迈瑞、亚辉龙、希森美康、透景、新产业等16家化学发光仪大盘点!_https://www.jmylbn.com_新闻资讯_第15张



UD90DT系统是全自动化学发光免疫分析仪。优异的设计使其兼具极高的自动化程度和高速准确的测试性能。不断延伸的项目组合可为临床诊断提供最大的助力。UD90DT以其自动化程度高,测试速度快而著称,首个结果时间仅需18分钟,每小时可进行85个测试,30个样本位,18个主试剂位,使其具有连续2个小时的离机时间。UD90DT设计中充份体现了自动化的理念,仪器支持24小时开机,支持在机稀释、自动重检等设置。并且具有极佳的延伸性。

 

极宽的项目检测平台为临床诊断提供更多依据,联合操作可最大程度的节约成本。检测项目组包括性腺功能、甲状腺功能、肿瘤指标、心血管标志物、贫血、糖尿病、骨代谢等多种常用检测。尤其在内分泌激素和心血管方面具有极优异的产品性能。UD90DT是医院提升检验诊断能力和临床工作水平的最佳选择。仪器和试剂在成本上也具有相当优势,是医院快速收回成本,增加经济效益的有力帮助。

 

酶促化学发光免疫分析

 

酶促化学发光免疫分析以酶蛋白标记抗原或抗体制备酶结合物,利用酶催化发光底物反应所提供的能量诱导光信号的产生,最终通过测定光学信号实现对待测物质的免疫分析,简称“酶促发光免疫分析”。与酶联免疫分析相同,酶促发光免疫分析采用辣根过氧化物酶(HRP)和碱性磷酸酶(ALP)作为标记物,不同的是酶促发光免疫分析采用发光底物。酶促化学发光免疫分析的发光类型属于间接化学发光。

 

化学发光仪哪些品牌好罗雅贝西、安图、迈瑞、亚辉龙、希森美康、透景、新产业等16家化学发光仪大盘点!_https://www.jmylbn.com_新闻资讯_第12张

HRP酶促化学发光反应

 

贝克曼

化学发光仪哪些品牌好罗雅贝西、安图、迈瑞、亚辉龙、希森美康、透景、新产业等16家化学发光仪大盘点!_https://www.jmylbn.com_新闻资讯_第17张



DxI 800分析速度为400测试 /小时,一次装载30个样品架,120个原始管样品。试剂位50个,试剂五层冷藏立体排放。可以同时装载2瓶发光底物液。系统突出优势为所有试剂/缓冲液等消耗品系统均可以在不停机状况下添加,完全实现智能化“空中加油”。

 

强大的常规样本处理功能、急诊功能,仪器可以24小时待机,样本检测项目的随机组合、随机进样,急诊标本具有优先权力。根据用户自定义的规则进行自动稀释、自动重检、Reflex Testing功能。仪器前部轨道具备一次性上机120个原始管能力,运行状态中可不断循环加入。同时为了配合用户将来安装自动化流水线的规划,仪器背部预留自动化轨道进样模式,保证满足实验室的未来拓展需求。

 

独有的分立一体化设计。分立的4个进样系统,在提升速度的同时实现一体化的进样系统。4个进样通道,加快进样速度、任一通道故障不影响其它操作、提高灵活性。每个分析通道可以根据需要可任意指定检测项目、保证整系统流程的最优化。所有通道共享一个检测系统和孵育器、共享一套冲洗、读数系统,使用同一个光量子探测器、共享一个定标和QC结果, 这样的一体化系统设计,避免了分系统组合所带来的结果差异。

 

贝克曼库尔特公司的免疫分析系统,是免疫分析发展过程中一个重要的仪器和试剂厂家,分析系统敏感度高,精密度好,准确性高。优秀的硬件系统设计,试剂稳定,无放射性污染或生物毒性,测定耗时短随机化,能快速提供结果报告,测定项目齐全,仪器的创新设计以及优异性能,完全符合现代免疫学实验室对自动化和智能化的要求。

 

希森美康

化学发光仪哪些品牌好罗雅贝西、安图、迈瑞、亚辉龙、希森美康、透景、新产业等16家化学发光仪大盘点!_https://www.jmylbn.com_新闻资讯_第18张



化学发光仪哪些品牌好罗雅贝西、安图、迈瑞、亚辉龙、希森美康、透景、新产业等16家化学发光仪大盘点!_https://www.jmylbn.com_新闻资讯_第19张


作为血液分析的全球领导者,希森美康免疫诊断业务发展虽然较早(1987年),但是直到2007年才推出第一款全自动化学发光免疫分析仪,在全球发光领域起步较晚。但是自2014年进入中国市场以来,凭借其在血液分析、凝血检测等业务的积累,化学发光业务处于高速发展状态。在国内厂家迅速崛起的今天,希森美康已经迅速成为不可小视的势力。


奥森多

化学发光仪哪些品牌好罗雅贝西、安图、迈瑞、亚辉龙、希森美康、透景、新产业等16家化学发光仪大盘点!_https://www.jmylbn.com_新闻资讯_第20张



实验室一直面临生产更快、更高质量结果的压力,需求也在增加。VITROS 5600 全自动生化免疫分析仪,可将经过验证的5种专有实现技术集合在一起,从而清除障碍,减少周转时间并提高实验室交付有意义结果的能力。

  

透景

化学发光仪哪些品牌好罗雅贝西、安图、迈瑞、亚辉龙、希森美康、透景、新产业等16家化学发光仪大盘点!_https://www.jmylbn.com_新闻资讯_第21张



透景专用典雅白SMART6500、TESMI i100及TESMI i200,采用吖啶酯直接化学发光技术,具有发光效率高、稳定性好、影响因素少等优点。而且透景化学发光兼容试剂具有检测项目齐全、性能优异、性价比更高,在满足检验科室需求的基础上能进一步降低科室成本等优点。

 

博奥赛斯

化学发光仪哪些品牌好罗雅贝西、安图、迈瑞、亚辉龙、希森美康、透景、新产业等16家化学发光仪大盘点!_https://www.jmylbn.com_新闻资讯_第22张



性能特点:

具备台式/柜式配置方式,可拓展第四代柔性轨道流水线,最多支持拓展20台仪器

样本针和试剂针具备凝块和液面自动探测及立体防撞功能

自动稀释,加样准确,恒温反应,满足随机、批量、急诊检测模式

清洗针堵针清洗,主动排废液,自动配制洗液,减少人工干预

 

主要参数:

产品名称:化学发光免疫分析仪

仪器型号:Axceed 260

注册证号:津械注准20182400046

检测速度:240T/H

技术功能:样本凝块探测、液位探测、清洗液余量报警、撞针自恢复、声光电报警、自动防撞

检测模式:随机、批量、急诊(标本、随到、随测)

样本位:60(含10个急诊位)

试剂位:18(含冷藏功能)

携带污染率:≤10-6

反应杯孵育位:90(37±0.5℃)

反应原理:磁微粒化学发光

分离方式:磁分离技术

首报告时间:最快10分钟

样本量:10-100ul


Axceed260是由博奥赛斯自主研发和生产的一款适用于医院检验科、第三方医学检验机构、体检中心等免疫检测的全自动仪器。该仪器优异的设计使其兼具极高的自动化程度和高速准确的测试性能,不断延伸的项目组合可为临床诊断提供最大的助力,同类产品相比,不但精度高、通量大、速度快,而且其硬件配置高、自动化程度高、操作简便、性价比高,经过多年使用验证,该仪器技术成熟、性能优良,为体外诊断领域提供优秀的解决方案。

 

迈瑞

化学发光仪哪些品牌好罗雅贝西、安图、迈瑞、亚辉龙、希森美康、透景、新产业等16家化学发光仪大盘点!_https://www.jmylbn.com_新闻资讯_第23张



产品特点:

因智而快:迈瑞运用智能化模块设计,突破产品运行瓶颈,单机检测速度高达480T/h

 

创新设计的反应杯中转站:

反应杯支持随时倒入添加,仪器自动排序;

反应杯中转站专利设计有效杜绝卡杯,攻克业界难题

 

实现杯液分离,提高生物安全水平:

测试完成后,仪器自动吸取反应废液。

废杯无残留,用户处理耗材无风险。

 

仪器自动维护:

从清洗液配置到全管路清洗的全过程仪器自动完成,保证稳定的仪器状态,减少人工操作。

 

同时上机高达300个样本:

轨道连续不间断进样,支持急诊样本优先插入.

 

灵活的拓展功能:

CL-6000i 很快可以与生化级联成生化免疫流水线,也可以双模块级联形成CL-6000i M2, 速度高达960T/H。

 

安图

化学发光仪哪些品牌好罗雅贝西、安图、迈瑞、亚辉龙、希森美康、透景、新产业等16家化学发光仪大盘点!_https://www.jmylbn.com_新闻资讯_第24张


 

检测速度:

1、单模块:200测试/小时

2、最多支持四模块联机

3、独立三轨,急诊畅通无阻


更好的用户体验:

1、无一次性TIP头,成本更低

2、反应杯倾倒式添加,无需人工排列

3、试剂、耗材均可实现不停机连续加载


检测结果:

1、极高的加样精度,变异更小

2、创新的磁分离清洗技术、本底更低

3、非接触式混匀,避免携带污染


解决方案:

1、80余种检测项目,选择更丰富

2、专业及时的售后服务,解除后顾之忧


软件功能:

1、耗材状态清晰预警,提前添加更省心

2、检测中标本,轻松掌握结果报告时间

3、故障预警、远程协助,主动式售后更贴心

 

科华

化学发光仪哪些品牌好罗雅贝西、安图、迈瑞、亚辉龙、希森美康、透景、新产业等16家化学发光仪大盘点!_https://www.jmylbn.com_新闻资讯_第25张


 

整体来说,Polaris i2400单机检测速度可达240测试/小时,能同时检测30个项目,项目可溯源至国际标准,具有“高品质、智能化、云服务”等三大特点。

 

从检测效率来说,Polaris i2400可实现240测试/小时/模块,可多模块联机,可与生化连接,可与流水线连接。

 

从结果品质来说,Polaris i2400使用二代酶促发光,灵敏度达10-21mol/L, 低浓度的小分子检测更可靠;使用一次性TIP加样,特别在传染病检测时,可杜绝交叉污染。

 

从操作智能来说,Polaris i2400的试剂/耗材可实时监控和连续装载,可自动执行日常维护,可获取云服务等。

 

作IVD老牌上市企业,始终致力为用户提供稳定且具有创新性的产品。这也是科华人一直以来追求的信念!

 

菲鹏

化学发光仪哪些品牌好罗雅贝西、安图、迈瑞、亚辉龙、希森美康、透景、新产业等16家化学发光仪大盘点!_https://www.jmylbn.com_新闻资讯_第26张


 

灵活:碱性磷酸酶(AP)与吖啶酯(AE)两种检测体系可选

快速:通量达200T/H;首结果<15mins

精准:精密度<3%

紧凑:体积为1000mm(L)*670mm(W)*760mm(H)(含显示屏),在同类产品中优势明显

便捷:急诊样本随时插入;离机时间长达3小时

流畅:所有耗材可在线实时加载并自动排序

独创:50+专利技术,完全自主知识产权

 

Shine i2000全自动化学发光免疫分析系统,为菲鹏生物化学发光解决方案的重要组成部分之一。该系统的研发团队深耕化学发光仪器多年,成功开发和生产过多款化学发光仪器。仪器支持多种检测体系、试剂参数、反应模式,可满足合作伙伴的不同需求。


化学发光仪哪些品牌好罗雅贝西、安图、迈瑞、亚辉龙、希森美康、透景、新产业等16家化学发光仪大盘点!_https://www.jmylbn.com_新闻资讯_第27张


国内在化学发光技术领域虽然起步较晚,但是随着技术的兴起,资本的流入,目前发展极为快速的。下表为国内外代表厂家按发光类型分类结果如下:


化学发光仪哪些品牌好罗雅贝西、安图、迈瑞、亚辉龙、希森美康、透景、新产业等16家化学发光仪大盘点!_https://www.jmylbn.com_新闻资讯_第28张化学发光仪哪些品牌好罗雅贝西、安图、迈瑞、亚辉龙、希森美康、透景、新产业等16家化学发光仪大盘点!_https://www.jmylbn.com_新闻资讯_第29张

(因文章篇幅原因不能一一列举,小编整理不易,如有偏颇欢迎指正。)


化学发光技术发展至今已成为主流诊断手段,市场份额逐年大幅递增,国外进口品牌占据90%的市场份额,其中代表厂家如罗氏、雅培、贝克曼、西门子等。随着化学发光技术不断突破和改进,国内化学发光厂家快速成长和发展,其中安图、迈瑞、迈克、博奥赛斯等国产厂家也快速成长。随着国家相关政策支持和国产厂家技术的不断完善,国产替代进口是化学发光领域的发展方向。

 

总之,无论采用哪一种化学发光的原理,核心原料的筛选、抗干扰因素的排除、最大限度消除钩状效应、降低仪器故障率、提升生产工艺、管理水平及技术服务意识等等才是根本之根本。


文中部分资料来源:公司官网及网络   本文为体外诊断网原创整理,转载请务必在文首标注来源及作者!


化学发光仪哪些品牌好罗雅贝西、安图、迈瑞、亚辉龙、希森美康、透景、新产业等16家化学发光仪大盘点!_https://www.jmylbn.com_新闻资讯_第30张


化学发光仪哪些品牌好罗雅贝西、安图、迈瑞、亚辉龙、希森美康、透景、新产业等16家化学发光仪大盘点!_https://www.jmylbn.com_新闻资讯_第31张


化学发光仪哪些品牌好罗雅贝西、安图、迈瑞、亚辉龙、希森美康、透景、新产业等16家化学发光仪大盘点!_https://www.jmylbn.com_新闻资讯_第32张