本文为作者授权骨今中外整理。
加入骨今中外APP年会员,海量课程等您学'
“Intertan”(IT)于2005年首次推出,这是一种具有两颗头颈螺钉的髓内钉,已成为治疗转子间骨折越来越流行的选择。本文讨论了IT与空心螺钉(CS)和动态髋关节螺钉(DHS)相比,该装置在稳定不稳定股骨颈骨折方面的实用性。
'
概 述
在西方国家,最近在一个特定人口中的老年人数量有了巨大的比例增长。1-3由于老年人群中骨质疏松症发病率的增加,髋部骨折的数量也在增加,预计还会进一步增加。4髋部骨折的总发病率占所有骨质疏松性骨折的14%,占骨质疏松症总费用的72%,5估计美国每年的医疗保健费用至少为98亿美元。几乎每一名50岁白人女性将在其剩余寿命中发生骨折,在随后几年相关的死亡风险为12%至20%。
梯度直接依赖于立即动员,主要的治疗目标是快速和简单的恢复功能结果。具有良好碎片间接触的受损非脱位性股骨颈骨折和无后路粉碎的移位性骨折可采用动态接骨固定术温和治疗。
对 比 方 法
目前首选的成骨方法是多套空心螺钉(MCS)和动态髋关节螺钉(DHS).18-23骨质疏松症是稳定手术的重要限制因素,与成骨的失败率高度相关。在骨密度(BMD)和骨储备足够的情况下,髓内植入物允许长期、全负重使用髋关节。骨密度越低,实现足够的骨合成就越困难。目前,股骨颈骨折接骨失败率从0.8%到35%,26、27和粗隆骨折,从2%到15%。28-32的比率1年和2年后的初始内固定移位的股骨颈骨折范围从20%到36%。除骨不连和缺血性坏死外,骨融合失败、复位丧失和切位是导致再手术的常见并发症。
2005年,一种新的治疗转子骨折的髓内装置(Intertan[IT])被引入,临床疗效良好,并发症数量少。这种植入物使用两颗头颈螺钉,允许术中线性的头颈碎片的压迫和旋转稳定。该装置在临床中越来越频繁,特别是用于治疗转子间骨折。本研究的目的是比较不稳定股骨颈骨折与常用的MCS和DHS的生物力学强度。
材料和方法标本在尸检时采集了12对无髋关节病理史的新鲜人类尸体股骨(4名女性和8名男性)。平均年龄为58.3岁16.7岁(范围,31-86岁),平均体重指数(BMI)为23.0kg/m24.4kg/m2。根据尸检数据计算个体BMI。所有人都死于事故或急性疾病,没有已知的长期固定。髂骨活检病例的髂骨活检,以排除任何已知影响骨骼的代谢性疾病。
所有标本在死后48小时内被解剖,并在20°C冷冻。
采用双能x线吸收仪(DEXA,DPXBravo)测量,标本分为三个同质组:IT、CS和DHS。三组各选择4股骨密度为0.9g/cm2和40.9g/cm2的股骨,分别比较骨质疏松和骨质量良好的标本的生物力学行为。之所以选择这一水平,是因为如果骨密度1标准差低于年轻男性(0.98g/cm20.12g/cm/cm2)和女性(0.92g/cm20.10g/cm2)的平均性别峰值标准差,则患者有骨质疏松的风险。IT组和CS组的标本进行配对(表1)。

样品准备和固定
一名外科医生完成了所有标本准备和植入物放置以确保一致性。在安装前,所有标本在室温下解冻,间歇喷洒生理盐水以保持水分。股骨远端髁从大转子近端尖端30cm移除,远端轴10cm包埋在尿素FC53聚氨酯(Go¨ßl&Pfaff,卡尔斯克隆,德国)的钢瓶中。根据Windolf等人36的方案(图1,a),使用定制的锯片指南对标准化骨折进行骨骨化。除了沿股骨颈轴设置切割位置外,还可以在前后方向调整锯导器,以考虑左右骨。所有标本在股骨颈中心用引导振荡锯(0.9mm厚)以相对于轴轴20°的角进行周向切割,模拟PauwelsIII型骨折(图1,B)。不同方式的骨折进行解剖复位和稳定。测定个体种植体长度和所有骨合成物。

图1。断裂模型。(A)定制锯指南根据Windolf等36(B)几何断裂模型
IT组
首先,将拉力螺钉插入股骨颈中心。在该螺钉的引导下,将压缩螺钉置于连续旋转稳定状态下,直到实现解剖对齐,骨折被压缩。最后,将钉子静态锁定(Smith&Nephew,孟菲斯,TN;图2,A-C)。
DHS组
将DHS(钢,125°)置于股骨头中心,使用3颗4.5mm皮质螺钉(Synthes,西切斯特侧钉,PA;图2,D-F)。
CS组
**颗螺钉在距骨附近放入头部软骨下骨。第二颗和第三颗螺钉分别放置在前上和后上,与**颗平行。所有螺钉均由钢组成(Synthes;图2,G-I)

图2 硬件的位置。(A-C)IT、(D-F)DHS、(G-I)CSS。每个标本在固定、循环测试和加载失败以评估种植体的位置、骨折脱位和标本失效的模式后,获得两个平面(ap和轴向)的x线片。
加载模式
我们选择了一个类似于在所有平面上都有力矩的单腿站立的加载条件。为了实现矢状面和前面的弯矩,以及轴向载荷下的旋转力矩,需要使股骨向轴轴倾斜10°和后10°。为了进行机械测试,将样品放入伺服器中液压测试机(MTS858.2;伊甸草原,明尼苏达州)。股骨头由一个单独定制的球形应加载,股骨远端包埋附着在一个基数关节上。在正弦负荷控制下,使用2hz进行循环压缩测试。为了防止试样脱落,在整个实验过程中,载荷谷保持在100N不变。本实验未模拟肌肉负荷。
所有试样以相同的方式进行测试:
(1)完整无损载荷至700N(2Hz10次循环),提供轴向刚度控制值
(2)断裂并稳定,无损轴向载荷至700N(10次循环2Hz)
(3)断裂并稳定至1400N(10000次循环)
(4)幸存的结构再次无损轴向载荷至700N(2Hz10次循环)
(5)以4.6mm/s的恒定速度加载失效。
并选择人保存标本以备破坏性装载。初始加载10次,并记录第10次测量的结果。骨折固定后,将标本再次放置于轴向载荷结构中,使用载荷控制在2Hz下从100N到1400N循环10000次。1400n代表一个70公斤的人单腿站立的臀部力,周期数近似于4周至6周时间段内的步数,这是骨折巩固的预期间隔。
在循环完成后,我们再次测定了在700n时存活的股骨的轴向位移阻力。最后,存活的股骨被加载到失效状态。故障定义为施加的负载值显著下降或执行器的位移超过20mm。每个标本在固定、周期性测试和加载失败以评估种植体的位置、骨折脱位和标本失败的模式后,获得两个平面的x线片。
统计分析
组间比较采用单因素方差分析和Tukey-Kramer术后检验。以骨密度为协变量,对到失败的周期数进行了回归分析。为了比较结构刚度,我们使用了t检验(I组和II组配对),未匹配的股骨未配对(III组)。软件包SPSS(SPSS,芝加哥,IL)用于统计评估。显著性水平确定为p0.05。
结果
人口统计数据和BMD
献血者的平均年龄为58.3岁,16.7岁(范围为31-86岁)。所有三组患者在年龄、BMI和骨密度方面均相似(p0.05)。在亚组分析中,我们将4个骨MD0.9g/cm2和4个骨MD0.9g/cm2的股骨随机分配到三个主要组(IT、CS和DHS);这反映在这两个亚组之间BMD的显著差异(IT、p0.016;CS、p0.012;和DHS、p0.011;表1)
完整强度与术后机械强度的对比
在所有病例中,固定后的x线片显示近解剖复位,头颈偏移量为2毫米,并适当放置硬件,TAD为11mm7mm。左右两侧患者完好的机械强度无显著性差异。与固定方法无关,骨折股骨和内固定股骨比完整股骨的机械强度显著降低了26%(p0.001),术后IT组的刚度损失最低组(IT、22%;CS、29%;和DHS,26%)。所有的结构都在无损载荷下存活到700N(图4)。

图3 34上的顶端的距离在前后(美联社)x线片(Xap)和这个距离的横向(lat)x线片(Xlat),在控制放大后。(Dap,直径。X线片,直径。x线片;和Dtrue,已知的拉力螺钉直径。)

图4 机械强度。与固定方法无关,与完整股骨相比,骨折股骨和内固定股骨的机械强度显著降低(p0.001)。IT组术后刚度损失最低
循环测试
在循环测试中,只有一个IT结构失败(12.5%;2019个循环;0.46g/cm2BMD),但6个CS样本失败(75%;1208个循环1,764循环;0.71g/cm2BMD)。存活的两个CS标本的骨密度分别为第二高和第三高(1.08和1.20g/cm2)。在DHS组中,4个标本失败(50%;1575个循环1,776循环;0.70g/cm2BMD)。IT构建物的存活时间明显长于CS标本(IT9,063个周期,2,480周期vs。CS3,325个循环,3,885循环;p0.008)。DHS与IT组或CS组之间的差异均未达到统计学意义(DHS5,716个循环4,448循环;图5)。

图5 生存曲线循环测试。与CS和DHS相比,IT只有一个股骨失败。
构造位移
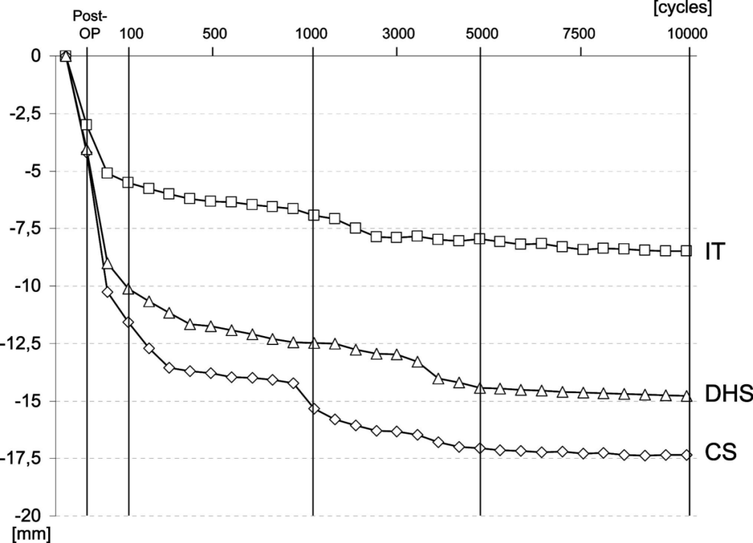
直到第50个周期,所有的结构都被烧结,独立于固定装置,然后稳定到第200个周期。在循环加载结束时,CS组(16.4mm6.7mm)和DHS组(14.5mm6.4mm)的结构位移显著高于IT组(8.5mm1.6mm)(ITvs。CS,p0.05;它vs。DHS,p0.05;CSvs。DHS,p0.61;图6)。

图6 构造位移。独立于固定方法,在50个周期时,所有的结构都被烧结。在循环加载结束时,CS组和DHS组的结构位移显著高于IT组。
力到失败
24个结构中有11个(46%)在循环测试中失败。失败的标本的骨密度(0.71g/cm20.18g/cm2)明显低于存活的股骨(1.07g/cm20.33g/cm2,p0.05),其中7例失败的股骨最初被分配到骨密度为0.9g/cm2的亚组。与DHS稳定的样品(n4;3,505N905N;p0.05)相比,存活的IT构建持续了更高的失效负荷(n7;4,929N1,105N)。由于很少有CS结构可用于失败测试(n2;3,421N20N),因此没有对该组的失败力进行统计分析(表2)。

失效机理
在循环加载下,一个IT结构因切割螺丝而失败。在7个IT结构中,有一个在“假体周围”骨折中失效,在远端钉尖附近断裂。其余的IT结构失败,股骨下颈(calcar)骨折,放射到转子区域。在一个病例中,抗旋转螺钉再次断裂(图7,A-C)。DHS的结构以一种不同的方式失败了。
在其中3个标本中,髋关节螺钉弯曲(图7,D-E),以及在另外3例中,发生了髋关节螺钉的切断(图7,F-G),我们还观察到一个小腿骨折和一个转子间骨折。在周期性载荷下,6个塌陷的CS结构中有5个因螺钉弯曲而失败;弯曲发生在小腿上方的下螺钉,而由颈小梁支撑的上螺钉弯曲较小(图7,H-I)。在一个病例中,下螺钉退出了。两种失效测试的CS结构也随着弯曲而坍塌。

图7 故障机制。每个植入物在测试过程中都表现出不同的失效机制。(A)IT故障,防旋转螺钉断裂。(B和C)大多数IT结构失败时表现为股骨下颈骨折。(D和E)DHS的弯曲。(F和G)切出DHS。(H和I)CS的弯曲。
机械强度和骨密度
骨密度0.9g/cm2的标本中,IT、CS和DHS结构的机械强度略高于骨密度较低的标本,但在术前、术后以及周期后强度方面,这些差异未能达到统计学意义。由于在循环测试中,所有BMD为0.9g/cm2的CS结构都失败了,因此无法对该组进行循环后分析(表2)
讨 论
尽管对于未移位性股骨颈骨折的手术治疗有普遍的共识,但不稳定和脱位性骨折的治疗仍存在争议,特别是在老年人中。由于骨融合失败升高高达35%,和骨不愈合率增加20%至40%,大多数外科医生在治疗老年人时首选半髋关节置换术或全髋关节置换术。Johansson等人的一项随机研究发现,这些替代策略与更少的特异性,但更普遍的并发症相关。由于需要较少积极的治疗,减少围手术期失血量,并保护自然髋关节,一般来说,需要新的治疗概念和合成骨植入物。
正确的硬件位置对于不稳定股骨颈骨折内固定后的高骨折强度具有无可争议的重要性。
生物力学基本锚固骨植入包括
(1)将螺丝通过股骨头的中点(最高骨密度)或略低于(最高支持),
(2)监测承重装置之间的距离在股骨颈和关节表面(TAD),
(3)放置一个额外的滞后螺丝,以防止旋转头颈的碎片。
在本研究中,IT钉稳定模拟不稳定PauwelsIII骨折具有显著的生物力学优势。与导管或DHSs稳定的标本相比,IT结构的股骨头位移明显更少。这可能是因为IT螺钉将弯曲力矩从股骨头和颈部转移到股骨干的皮质骨。
与此相反,CS只能通过螺钉和松质骨之间的相互作用来传递力矩。抗旋转IT螺钉离股骨下颈的位置更近(与DHS相比)可以解释IT组和DHS组之间的位移差异。IT结构也比DHS稳定的样品高三分之一。由于可用于失败测试的CS样本数量较少(n2),没有足够的能力检测到CS组和其他组之间的显著差异。在5对尸体股骨中,Clark等发现DHS和mcs固定之间没有显著差异。我们发现只有两个CS和四个DHS结构能够承受.
据我们所知,这是**个分析IT对稳定不稳定股骨颈骨折的生物力学性能的研究。先前的生物力学研究比较了这种骨折类型的其他内固定装置。Holmes等报道了滑动髋关节螺钉和三颗松质拉力螺钉之间的屈服负荷没有差异。Aminian等比较了四种不同固定技术对股骨颈垂直骨折的生物力学稳定性。他们注意到DHS比3个CS更强。有趣的是,在我们的研究中,没有一种固定装置能够达到预骨折的、完整的机械强度。
在所有标本中,术后强度均显著降低了22%至29%。据推测,这是因为完整的骨显示出更高的弹性,因此比更坚硬的骨具有更高的机械强度用植入物结构。此外,植入不同的设备也可能以某种方式损害骨骼,从而降低机械强度。此外,首先测量完整的骨骼,然后进行植入和再次测量。这也可能会削弱骨骼,并对测量值产生影响。
在我们的实验设置中,我们使用了CS的“直立”三角形结构,因为已知,侧视图上螺钉的扩散减少与骨不连的风险增加有关。由于发现下螺钉是受影响最严重的一个,我们假设螺钉的倒三角形结构将减少靠近小腿的弯矩。
在IT组中,没有发生硬件弯曲或后退。大多数IT结构(68%)由于股骨下颈和股骨粗隆区骨折而失败。由于这种植入物尚未用于人类治疗股骨颈骨折,因此很难得出关于体内可能的失败机制的结论。
如上所述,IT螺钉将弯曲力矩从股骨头和颈部转移到股骨干的皮质骨。值得注意的是,头部螺钉从未脱位,我们在所有病例中都观察到骨折脱位,而不是典型的切口,与股骨粗隆骨折的情况相当。
如果老年患者发生结构失败,假体置换几乎总是必要的。在DHS或多次CS初次固定后,由于保留了股骨颈远端和转子区域,假体固定的解剖选择良好。由于IT构建失败后转子区域骨折,翻修手术中假体柄的锚固可能很复杂,并与较高的术内和术后风险相关,如假体脱位。
迄今为止,没有合成骨植入物在稳定骨质疏松性股骨颈骨折方面有更好的效果。在老年晚期骨质疏松症患者中,对患肢满载的及时活动的需求变得越来越难以满足。在我们的研究中,在骨密度较高的标本中,三种装置的固定强度和失效力均略高。
有趣的是,与骨密度较低的股骨相比,骨密度较高的完整标本的机械强度略低。这一发现表明,骨密度对机械强度的影响只很小。独立于BMD,IT结构比DHS和CS结构更强。然而,所有在循环测试中失败的标本的骨密度明显低于存活的股骨。
结 论
本对不稳定股骨颈骨折固定的体外研究显示,与DHS和三种CS相比,IT具有一定的生物力学优势。用IT装置稳定的模拟PauwelsIII骨折表现出更少的下头部位移,更高的失效负荷,以及在骨折愈合所需时间的生理负荷下有更长的生存时间。
根据我们的研究结果,我们有更多的生物力学实验来研究骨折的固定并伴有后路粉碎性缺损是必要的。为了探讨相关复杂假体置换后构建失败的风险,需要在体内研究中分析使用IT装置固定不稳定股骨颈骨折后的临床结果。
本文仅代表作者个人观点,不代表官方立场。希望大家理性判断,有针对性地应用。