生化因子法怎么定标临床生物化学检验-基础知识和基本原理

新闻资讯2026-04-21 18:34:59


南说检验-说真实的故事,做真实的事!

         告别了血常规,开始说说生物化学检验的东西吧,依旧从基础开始说起,本文简单介绍了生物化学检验的基础知识,虽然枯燥无味但是这个是一个基础,对于以后专业知识的理解包括案例分析都是很有用的。开始枯燥的讲解吧。

写这个小册子的原因:

         本身这个和以前发的都是准备自己写的自用的检验手册的一部分,最初想法的来源是一套临床案例分析的检验指标的一套13本的小册子,一本大约16开的小一百页,很有意思也很实用。所以就自己想试着把最基础的知识放在一个简单明了的工具册子里,希望对和我一样的初学者有所帮助吧。

写在前面:

1.图片文字来源于网络和朋友和仪器厂家的提供,版权归原作者所有,如有侵权请联系本人删除,谢谢!

2.因为公告号平台发不出PDF格式的文件,WORD版本由于平台或者软件的不同格式会有差异,希望您谅解!


1.临床生物化学检验主要检测原理

 临床生化检验,主要在技术方面的应用方面上探讨生化检验新技术以及新的标记物的选择和评价,用于帮助诊断,又称“诊断生化”。主要应用于下列技术:光谱技术、电化学分析技术、层析技术、电泳技术、离心技术、抗原抗体特异性反应和标记技术、核酸扩增、杂交及序列分析技术等,其中生化分析仪主要运用了光谱技术中吸收光谱法和比浊法。分别介绍如下:

1.1 吸收光谱法

1.1.1 光谱范围和电子跃迁

波长从 200nm—400nm 的电磁辐射,称为紫外光,波长从 400nm—760nm 的电磁辐射,称为可见光。

1.1.2 吸收曲线

以波长(λ)为横坐标,以吸光度为纵坐标而绘制出的一条曲线称为吸收曲线。

生化因子法怎么定标临床生物化学检验-基础知识和基本原理_https://www.jmylbn.com_新闻资讯_第1张

1.1.3吸光度:

生化因子法怎么定标临床生物化学检验-基础知识和基本原理_https://www.jmylbn.com_新闻资讯_第2张

一束强度为 IO的平行单色光通过一个含有浓度为 C 的吸光物质、厚度为 L 的吸收池时,如上图,一些光子被吸收,光强从 IO 衰减为It,则该溶液的吸光度 A 等于:生化因子法怎么定标临床生物化学检验-基础知识和基本原理_https://www.jmylbn.com_新闻资讯_第3张(其中生化因子法怎么定标临床生物化学检验-基础知识和基本原理_https://www.jmylbn.com_新闻资讯_第4张为透光率)

1.1.4 Lamber-Beer 定律

A=єCL

其中 є 为吸光系数,有两种表示方法摩尔吸光系数和比吸光系数,摩尔吸光系数的意义为 1 摩尔浓度的溶液在厚度为 1cm 时的吸光度,比吸光系数的意义为浓度为 1%(w/u)的溶液在厚度为 1cm 时的吸光度;C 为溶液的浓度;L 为吸收池的厚度(单位为 cm,亦称光径)。

Lamber-Beer 定律的意义为:某溶液的吸光度等于该物质的吸光系数 є、浓度 C 和光径 L(cm)的乘积,当光径不变时,浓度和吸光度成正比,这是生化分析仪利用吸收光谱法进行定量测定的基础,见下图:

生化因子法怎么定标临床生物化学检验-基础知识和基本原理_https://www.jmylbn.com_新闻资讯_第5张

Lamber-Beer 定律成立的前提条件是:(1)被吸收光为单色平行光,(2)待测定溶液为稀溶液。

除特种蛋白外的大部分临床生化项目,配以相应的试剂,均可利用吸收光谱法在生化分析仪上进行测定。如:酶类:包括 ALT、AST、ALP、ACP、r-GT、a-HBDH、LDH、CK、CK-MB、a- AMY、等。底物/代谢产物类:包括 TG、TC、HDL-C、LDL-C、UA、UREA、Cr、Glu、TP、Alb、T-Bil、D- Bil、NH4+、CO2 等。无机离子类:包括 Ca、P、Mg、Cl 等。

司南说:Lamber定律和Beer定律是两个不同定律,其使用范围也是不一样的,Lamber-Beer 定律是生化的最基础原理这个需要时刻记在心里,包括使用范围和前提条件,后面分析的时候需要这个基础作为基础。

1.2比浊法(透射比浊法和散射比浊法)

带有小粒的悬浮液和胶体溶液都具有向四面八方散射入射光的性质,当一束平行光通过含有悬浮质点的悬浮液或胶体溶液时,同时受到散射和吸收两个因素的影响,使光的强度减弱。在光源的光路方向上测量透射光(实际上还包括散射光)强度与入射光强度比值,并通过该比值测定出悬浮液或胶体溶液中质点的溶度,称为投射比浊法;在光路的其他方向上测量散射光强度,从而测定出悬浮液或胶体溶液中质点的浓度,称为散射比浊法。

1.2.1检测原理

1.2.1.1透射比浊法

生化因子法怎么定标临床生物化学检验-基础知识和基本原理_https://www.jmylbn.com_新闻资讯_第6张

一束强度为 I0 的平行单色光通过一个含有悬浮质点(颗粒大小与光源波长接近)的悬浮液或胶体溶液时,如上图,其透射光强度 I 可用下式表示:

I=IOe-τL

式中,L 为悬浮液或胶体溶液在光前进方向上的长度,τ为浊度系数,与悬浮质点的浓度 C 成线性关系。令τ=2.3KC,则:




生化因子法怎么定标临床生物化学检验-基础知识和基本原理_https://www.jmylbn.com_新闻资讯_第7张


该式与 Lamber- Beer 定律相似,这是生化分析仪利用透射比浊法进行定量测定的基础,该法可以与吸收光谱法共用一个检测器,所以生化分析仪,不需增加任何部件,均可利用此法进行测定。大部分特种蛋白,如载脂蛋白类(apoAI,apoB 等)、补体类(C3,C4 等)免疫球蛋白类(IgG,IgM 等)等,配以相应的试剂,可利用此法在生化分析仪上进行测定。

1.2.1.2散射比浊法

生化因子法怎么定标临床生物化学检验-基础知识和基本原理_https://www.jmylbn.com_新闻资讯_第8张

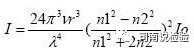
一束强度为 IO 平行单色光通过一个含有悬浮质点(颗粒大小远小于光源波长)的悬浮液或胶体溶液时,如上图,与入射光垂直方向上,其散射光强度 I 可用下式表示:

生化因子法怎么定标临床生物化学检验-基础知识和基本原理_https://www.jmylbn.com_新闻资讯_第9张


式中,n1,n2 分别表示质点与介质的折射率,V 表示单位体积内的质点数,r 表示质点半径。可见散射光强度与悬浮质点的浓度成正比,这是利用散射比浊法进行定量测定的基础,因另需在光路垂直方向上增加一检测器, 目前只有极少数生化分析仪可利用散射比浊法进行定量测定,而几乎所有的特种蛋白分析仪、免疫分析仪等都能利用散射比浊法进行定量测定。

1.2.2方法学分析

1.2.2.1散射比浊法与透射比浊法:散射比浊法灵敏度高,线性范围宽,但干扰因素多。

1.2.2.2比浊法与吸收光谱法:比浊法特异性差,灵敏度低。

1.3ISE离子选择电极法

1.3.1检测原理离子选择电极(ion selective electrodes,ISE)法是以测定电池的电位为基础的定量分析方法,可以通过简单的电动势测量直接测定溶液中某一离子的活度。电解质分析仪将K、Na、CL、CapH等测量电极组装在一起,与参比电极(银/氯化银电极)相连接,置于待测的电解质溶液中,形成一个测量电池。测量电池的电位分别随标本中K、Na、CL、Ca、PH浓度的改变而改变,电位的变化与离子活度的对数符合能斯特(Nernst)方程。

生化因子法怎么定标临床生物化学检验-基础知识和基本原理_https://www.jmylbn.com_新闻资讯_第10张

E是离子选择电极在测量溶液中的电位;;Eo为离子选择电极的标准电极电位;R为摩尔气体常数[8.314 J/(K.mol)];n为待测离子的电荷数;T为绝对温度(K);F为法拉第常数(96487 C/mol);C为待测离子浓度;f为待测离子活度系数。

1.4干式化学技术检测原理:MicroSlide多涂层薄膜干片技术,将所需试剂预固定在多层薄膜大小透明支持基垫上,当血清、血浆或者脑脊液与这些已含化学物质的干式薄膜接触时发生化学反应并对反应信号进行测量。由于测定项目的不同,干化学的试剂片也分为很多种。

2.临床生物化学检验主要分析方法

2.1终点法

2.1.1原理

指经过一段时间一般为 10 分钟左右的反应,整个反应达到平衡,由于反应的平衡常数很大,可认为所有的被测定物已转变为产物,反应液的吸光度不在增加(或降低,吸光度的增加(或降低程度与被测定物的浓度成正比。如下图:

生化因子法怎么定标临床生物化学检验-基础知识和基本原理_https://www.jmylbn.com_新闻资讯_第11张

如图所示:t1 时刻加入试剂(体积为 V),t2 时刻加入样本(体积为 S),然后搅拌并反应,之后测量反应液的吸光度,在 t3 时刻反应达到终点。t2-t3 为测定时间。

2.1.2反应度的计算R(Response)

结果的计算包括三个部分:反应度 R(Response)的计算、定标参数的计算和浓度(或活性)的计算。这里仅介绍 R 的计算,定标参数的计算和浓度(或活性)的计算在后面专门讨论。

2.1.2.1单试剂单波长终点法

生化因子法怎么定标临床生物化学检验-基础知识和基本原理_https://www.jmylbn.com_新闻资讯_第12张

2.1.2.2双试剂单波长终点法

生化因子法怎么定标临床生物化学检验-基础知识和基本原理_https://www.jmylbn.com_新闻资讯_第13张

2.2一级动力学法(固定时间法)

一级动力学是指在被测物参与反应的条件下,在一定的反应时间内,反应速度与反应物浓度的一次方成正比, 由于反应物在不断的消耗,因此整个反应速度在不断的减小,表现为吸光度的增加或降低)速度越来越小,由于这类反应达到平衡的时间很长,且平衡常数不算很大,必须在特定时间段内进行监测,该段时间内吸光度的增加(或)降低与被测定物的浓度成正比,见下图。一级动力学法又被称为初速率法、固定时间法、二点动力学等。

生化因子法怎么定标临床生物化学检验-基础知识和基本原理_https://www.jmylbn.com_新闻资讯_第14张

如图所示:t1 时刻加入试剂(体积为 V),之后测量试剂空白的吸光度,t2 时刻加入样本(体积为 S),t3 时刻反应稳定,t4 时刻停止对反应进行监测;t2-t3 为延迟时间,t3-t4 为测定时间。

反应度 R 的计算(单、双试剂相同) 反应度 R=t4 时刻吸光度—t3 时刻吸光度

2.3零级动力学法(连续检测法)

指反应速度与被测定物浓度的零次方成正比,也就是与被测定物浓度无关,因此,在整个反应过程中,反应物可以匀速地生成某个产物,导致被测定溶液在某一波长下吸光度均匀地减小或增加,减小或增加的速度( A/min)与被测物的活性或浓度成正比。零级动力学法即通常所说的动力学法,也被称为连续监测法,主要用于酶活性的测定。

实际上,由于底物浓度不可能足够大,随着反应的进行,底物消耗到一定的程度后,反应速度不再与酶活性成正比,因此,零级动力学法是针对于特定时间段而言的,各试剂商对这段时间有严格规定,见下图中的 t3-tn:

生化因子法怎么定标临床生物化学检验-基础知识和基本原理_https://www.jmylbn.com_新闻资讯_第15张

t1 时刻加入试剂(体积为 V),t2 时刻加入样本(体积为 S),t3 时刻反应稳定,tn 时刻停止对反应进行监测;t3 到 tn 之间的时间内,吸光度匀速变化,变化的速率和反应物的浓度成线性关系。t3-t2 为延迟时间 ,tn-t3 为测定时间。

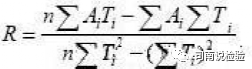
反应度 R 的计算(单、双试剂相同)其中 n=t3 到 tn 间的数据数Ti=时间Ai=某一时间的吸光度


生化因子法怎么定标临床生物化学检验-基础知识和基本原理_https://www.jmylbn.com_新闻资讯_第16张

2.4测定值计算方程

以下为各种方法学的测定值计算方程及监察参数定(终点法、 两点法、连续检测法)

2.4.1终点法-单试剂, 单波长及样本空白扣除

生化因子法怎么定标临床生物化学检验-基础知识和基本原理_https://www.jmylbn.com_新闻资讯_第17张

其方程显示如下:(RBL 试剂空白值, 可在定标数据程序内查看

生化因子法怎么定标临床生物化学检验-基础知识和基本原理_https://www.jmylbn.com_新闻资讯_第18张

2.4.2反应控制用来监察在终点法中反应是否已经达到终点.



生化因子法怎么定标临床生物化学检验-基础知识和基本原理_https://www.jmylbn.com_新闻资讯_第19张

终点法时:指反应终点的吸光度与前一点的吸光度差值要小于仪器给出的反应控制,否则反应到达终点时会 报警终点不稳定。

固定时间法:判断参与计算的两点线性,

生化因子法怎么定标临床生物化学检验-基础知识和基本原理_https://www.jmylbn.com_新闻资讯_第20张

2.4.3试剂空白波动试剂本身在测定时间内的吸光度变化值.

生化因子法怎么定标临床生物化学检验-基础知识和基本原理_https://www.jmylbn.com_新闻资讯_第21张

2.4.4两点法-单试剂

最后报告 =最终结果:测定值 x 单位因子 – 截距)/斜率

生化因子法怎么定标临床生物化学检验-基础知识和基本原理_https://www.jmylbn.com_新闻资讯_第22张

测定值=因子×[Abs样本-RGT波动]

Abs样本=Abs样本(T1)-Abs样本(T0)

RGT 波动 =Abs 试剂空白= Abs 试剂(T1) - Abs 试剂(T0)

因子=标准浓度/ Abs 标准± RGT 波动

2.4.5两点法-双试剂

生化因子法怎么定标临床生物化学检验-基础知识和基本原理_https://www.jmylbn.com_新闻资讯_第23张

测定值=因子×[Abs样本-RGT波动]

因子=标准浓度/ Abs 标准± RGT

波动超时极限

Afp = Abs (T0) - Abs (T0  - 18")

Asp = Abs (T1) - Abs (T1  - 18")

若比值不符合以下条件:Afp – 线性因子 xAsp < 起始极限测结果会有报警反应不符合线性.

生化因子法怎么定标临床生物化学检验-基础知识和基本原理_https://www.jmylbn.com_新闻资讯_第24张

Afp/ Asp=线性因子


2.4.6底物耗尽值

生化因子法怎么定标临床生物化学检验-基础知识和基本原理_https://www.jmylbn.com_新闻资讯_第25张

底物耗尽正负反应原理相同,具体在后面反应曲线有解释。

生化因子法怎么定标临床生物化学检验-基础知识和基本原理_https://www.jmylbn.com_新闻资讯_第26张

2.4.7动力学因数计算

因数=Vt*1000/(VS*O.T.*xt)

Vt:反应总量(样本量+试剂量);VS:样本量

O.T.=光径的长度;xt:消光系数

1000是换算单位:ml→ul

测定值 = 因数 xAbs/ 分= 因数x [ Abs(T0) - Abs(T1)] x 60 /[(T0)- (T1)]


2.5定标参数及浓度的计算

2.5.1 定标参数的计算

定标方法分为两大类,即线性定标和非线性定标,其中线性定标又包括单点线性定标(又称因数法)、两点线性定标(又称线性法)和多点(大于 3 点)线性定标(又称线性回归法),主要适用于比色法测定的项目;非线性定标主要适用于比浊法测定的项目,下面分别予以介绍。

2.5.1.1 对于后续的几点说明

2.5.1.1.1三种测定方法(终点法、固定时间法和动力学法)可以和上述的定标方法任意对应。

2.5.1.1.2后面的定标公式中:

R 表示反应度(详见上文“R 的计算”);

C 表示标准液的浓度(或活性)。

K、RO、a、b、c、d 表示定标参数。

2.5.1.1.3标准液 亦称基准溶液,是浓度已经准确测知的溶液。

2.5.2线性定标

2.5.2.1单点定标

定标公式:R=KC。只有一个定标参数K=R/C

定标曲线如下:

生化因子法怎么定标临床生物化学检验-基础知识和基本原理_https://www.jmylbn.com_新闻资讯_第27张


只需提供 1 个标准品。大多数酶学项目可以不定标而直接输入因数(输入值 F=1/K)。

2.5.2.2两点定标

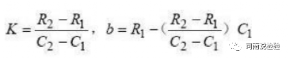
定标公式:R=DC+b,有 2 个定标参数,K 和 b

其中

生化因子法怎么定标临床生物化学检验-基础知识和基本原理_https://www.jmylbn.com_新闻资讯_第28张

要求提供两个标准品,C1、C2 为标准品 1 和 2 的浓度,R1、R2 为标准品 1 和 2 的反应度。

定标曲线如下图:

生化因子法怎么定标临床生物化学检验-基础知识和基本原理_https://www.jmylbn.com_新闻资讯_第29张

2.5.2.3多点定标

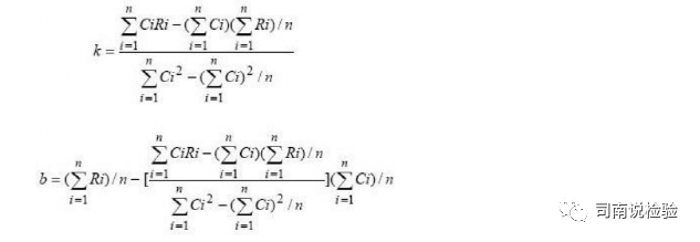
定标公式:R=KC+b,有两个定标参数,K 和 b,其中:

生化因子法怎么定标临床生物化学检验-基础知识和基本原理_https://www.jmylbn.com_新闻资讯_第30张

要求提供 n(n≥3)个标准品,Ci 为标准品 i 的浓度,Ri 为标准品 i 的反应度。

2.5.3非线性定标

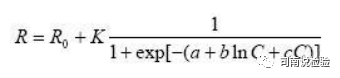
2.5.3.1Logistic-Log4P

定标公式如下:


生化因子法怎么定标临床生物化学检验-基础知识和基本原理_https://www.jmylbn.com_新闻资讯_第31张

有 4 个 参数,即 R0、K、a 和 b。

要求提供至少 4 个标准品,其中第一个标准品的浓度(活性)为零,其对应的 R 就等于 R0,用最速下降法+拟牛顿法求解。适用于随着浓度增加,其反应度增加越来越小的定标曲线,如图:

生化因子法怎么定标临床生物化学检验-基础知识和基本原理_https://www.jmylbn.com_新闻资讯_第32张

2.5.3.2 Logistic-Log5P

定标公式:

生化因子法怎么定标临床生物化学检验-基础知识和基本原理_https://www.jmylbn.com_新闻资讯_第33张

有 5 个定标参数即 R0、K、a 、b 和 c。要求提供至少 5 个标准品,其中第 1 个标准品的浓度(活性)为零,其对应的 R 就等于 R0,用最速下降法+拟牛顿法求解,使用范围同 Logistic-Log4P,只是曲线拟和程度更高。

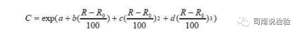
2.5.3.3 Exponential5P

定标公式:R=R0+Kexp[alnC+b(lnc)2+c(lnC)3],有 5 个参数 R0、K、a 、b 和 c 要求提供至少 5 个标准品,其中第 1 个标准品的浓度(活性)为零,其对应的 R 就等于 R0,用最速下降法+拟牛顿法求解。适用于浓度增加到一定程度后,其反应度增加越来越大的定标曲线,如图:

生化因子法怎么定标临床生物化学检验-基础知识和基本原理_https://www.jmylbn.com_新闻资讯_第34张

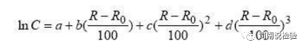
2.5.3.4 Polynomial5P

定标公式:

生化因子法怎么定标临床生物化学检验-基础知识和基本原理_https://www.jmylbn.com_新闻资讯_第35张


 五个参数 R0、K、a 、b 和 c 要求提供至少 5 个标准品,其中第 1 个标准品的浓度(活性)为零,其对应的 R 就等于 R0,用最速下降法+拟牛顿法求解。

2.5.3.5Parabola

定标公式:R=aC2+bC+c,有 3 个参数,即 a、b 和 c。要求提供至少 3 个标准品,解 3 元线性方程组,用全选主元高斯消去法求解。

2.5.3.6Spline

定标公式:C-Ci=R0i+ai(C-Ci)+bi(C-Ci)2+ci(C-Ci)3-R 有 4i 个参数,即 R0i 、ai、 bi 和 ci。要求提供 2-6个标准品,用最速下降法+拟牛顿法求解。由于是分段拟和,其拟和程度在所有定标类型中最高。

2.6浓度(活性)的计算

浓度(或活性)C 的计算根据选用的不同定标类型而计算公式不同,下面一一列举:

2.6.1 线性定标

2.6.1.1单点线性定标:C=R/K(K 为定标参数;或 C=RⅹF,F 为输入的因数)

2.6.1.2两点线性定标C=(R-b)/K,K 和 b 为定标参数。

2.6.1.3多点线性定标C=(R-b)/K,K 和 b 为定标参数

2.6.2非线性定标

2.6.2.1Logistic-Log4P


生化因子法怎么定标临床生物化学检验-基础知识和基本原理_https://www.jmylbn.com_新闻资讯_第36张

2.6.2.2Logistic-Log5P用二分法求正实根

2.6.2.3Exponential5P用二分法求正实根

2.6.2.4Polynomial5P

生化因子法怎么定标临床生物化学检验-基础知识和基本原理_https://www.jmylbn.com_新闻资讯_第37张

R0、a 、b、c 和 d 为定标参数。

2.6.2.5 Parabola 对一元二次方程 aC2+bC+c-R=0 求正实根

2.6.2.6 Spline 对二分法求正实根。

2.7重要概念

2.7.1 试剂空白:由于生化测试测量的均为相对吸光度,所以从理论上说,所有终点法的测试都需要把试剂本身的吸光度扣除。试剂本身的吸光度就是试剂空白。测量方法是按照正常测试的试剂和样本量,把样本换成蒸馏水来测量。

2.7.2 样本空白:由于溶血、脂血、黄疸等情况,会导致样本本身的吸光度对测试结果造成影响。所以对样本本身吸光度的测量,

即样本空白,可以去除这方面的影响。测量方法是按照正常测试的试剂和样本量,把试剂换成蒸馏水或生理盐水来进行测量。

2.7.3 水空白:比色杯在加入水以后的吸光度。

2.7.4 样本:生化测试的样本包括血清、血浆、尿液、脑脊髓液等体液,最常用的是血清。血清的制备是在采血后加入凝固剂或者在水浴箱中水浴,促使血液凝固,然后在离心机离心,血细胞和血浆沉在试管下部,上面的血清就是生化测试中所需的样本血清。注意纤维蛋白可能漂浮在血清当中,在制备样本的过程当中要挑出来。

2.7.5 质控物质:人工混合血清或者动物血清,有定值和未定值两种,用于室内和室间质控。检验科通过每天的质控测试,监控测试的可靠性。

2.7.6 底物控制:仅对零级动力学有效,一些高浓度(活性)样品使底物耗尽,使反应不在为零级(零级动力学法)或 1 级(固定时间法)反应,为能正确反应测定结果,需设置底物控制(某一特定吸光度),该底物控制应正好是反应曲线中线性区与非线性区(零级动力学法)或 1 级反应区与多级反应区(固定时间法)的临界点,是在反应时间内反应没有发生底物耗尽时所能达到的最小(反应曲线向下)或最大(反应曲线向上)的吸光度值。某一项目的底物控制值与所用试剂盒密切相关,就某一特定试剂盒来说,底物控制值应由用户预先用一系列已知浓度(或活性)的样本来确定:观测这些样本的实时反应曲线,找出反应曲线上反应时间内线性区与非线性区的交叉点的吸光度,该吸光度就是该项目的底物控制值。更换试剂后,需用相同的方法重新确定。

写在后面:这个是因为是小册子,不想弄的太大,如果需要下载的话请到丁香园论坛我的帖子上下载,https://www.dxy.cn/bbs/newweb/pc/post/45893524,如果您还算喜欢这个小册子的话,麻烦您动动可爱的小手把文章转发给和我一样喜欢这个行业的初学者,谢谢。