流感病毒怎么采样吴文娟主任:发热门诊呼吸道病原体快速筛查丨解密流感(3)

新闻资讯2026-04-21 17:03:17

流感病毒怎么采样吴文娟主任:发热门诊呼吸道病原体快速筛查丨解密流感(3)_https://www.jmylbn.com_新闻资讯_第1张

今天我们一起来讨论「发热门诊呼吸道病原体快速筛查」的问题。临床医生可能通过问诊或流行病学等等来进行筛查,从实验室角度来看,在呼吸道感染的疾病诊断中,病原学是非常重要的。我们当下的研究进展是什么样的?哪些是我们可及的、临床医生可以信赖的方法?


近期流感问题备受关注,12月12日,《nature》发了一篇文章,提示目前在加拿大,H3N2型流感在儿童里引起很大的一波冲击。在11月世卫组织发布的报告里,也提示在全球层面上监测到的流感流行形势、数据值得我们重视。同时,在新冠的流行季,世卫组织也鼓励加入了监测网络的国家同时监测流感和新冠,这样我们能够更好地掌握流行病学情况。


今年,在《柳叶刀》杂志上,一项对超过20万名新冠住院患者的研究发现,与只感染新冠病毒相比,「同时感染新冠病毒和流感病毒」的成年人的重症和死亡风险会大大增加。具体来说,需要进行呼吸机治疗的风险是4.14倍,死亡风险是2.35倍。


流感病毒怎么采样吴文娟主任:发热门诊呼吸道病原体快速筛查丨解密流感(3)_https://www.jmylbn.com_新闻资讯_第2张

来源:Maaike C Swets, et al. SARS-CoV-2 co-infection with influenza viruses, respiratory syncytial virus, or adenoviruses. Lancet, 2022.


我们一定要关注近期发热门诊挤兑的现象,来就诊的患者是单纯的新冠感染、单纯的流感感染,还是流感合并新冠?在新型冠状病毒防控方案(第九版)中,也明确提到,新冠病毒需与流感病毒、呼吸道合胞病毒等感染鉴别,尤其是对疑似病例,要尽可能采取包括快速抗原检测和多重PCR核酸检测等方法,对常见呼吸道病原体进行检测。


全球和我国的卫生组织都重视流感病毒的传播,WHO有全球流感监测和反应系统(GISRS)和《全球流感防控战略》;我国卫健委也不断针对流感发布检测和处置文件,2020年版流行性感冒诊疗指南中已经提到新冠的鉴别诊断了。


这里需要谈谈各类检测手段,病毒抗原检测的阳性支持诊断,但是阴性不能排除诊断;病毒核酸检测的敏感性和特异性很高,而且能够区分病毒的类型、亚型。我们支持同时开展新冠病毒、流感病毒等多种病原的检测,做好鉴别诊断,但同时出现了新的问题,我们以前送检下呼吸道和上呼吸道标本,一周做一次、两次,显然都不能满足急性呼吸道感染防治的基本原则,原则包括「4早」:早发现、早报告、早诊断和早治疗。


这4早原则就引出了呼吸道病毒检测的6大价值,1、对症治疗:找到病原、认识疾病、合理对症治疗;2、患者教育:明确诊断以解答患者疑问、进行疾病教育;3、早期隔离:减少病覆盖广度、避免交叉感染;4、预测病情轻重:及时告知、降低预期、减少沟通成本;5、特殊人群:明确诊断、合理决策、改善预后;6、大数据分析:为药物研发、疫苗研究奠定基础。


但是到现在,我们还是面临很多问题,主要谈谈发热门诊,首先看发热门诊的发展历程。


2003年,我国为了筛查SARS而专门设立了特殊科室「发热门诊」,旨在早发现、早隔离、早治疗SARS患者,控制疫情蔓延,同年4月15日,原国家卫生部办公厅发布《卫生部办公厅关于进一步做好传染性非典型肺炎诊疗工作的通知》(卫机发10号),标志我国首次正式提出建立「发热门诊」。


2014年,国家卫生计生委(国卫办监督函【2014】75号)发文:对设置发热门诊的医疗机构、流感监测哨点医院等重点单位,要加强对不明原因肺炎监测,传染病疫情报告,预检分诊,消毒隔离等各项制度落实情况的监督检查。在这段时间,对于一些急性传染病,发热门诊也发挥了非常重要的一些作用。


流感病毒怎么采样吴文娟主任:发热门诊呼吸道病原体快速筛查丨解密流感(3)_https://www.jmylbn.com_新闻资讯_第3张


发热门诊的布局几乎就是一个小型医院,在其中需要完成就诊→检测→治疗→出院的完整闭环,在新冠疫情之前,可能很多医生并没有去过发热门诊,一般都是由感染科医生出诊的,但在新冠疫情期间,不仅呼吸科,很多内科如心内科、内分泌等科室的医生都需要到发热门诊轮转,这时,就要对相应的一些院感防护知识、针对疾病诊疗的指南共识解读进行些培训,完整的闭环管理也对人员和设备都提出了高要求。


发热门诊流程示意图:

流感病毒怎么采样吴文娟主任:发热门诊呼吸道病原体快速筛查丨解密流感(3)_https://www.jmylbn.com_新闻资讯_第4张

来源:伍宝玲等,我国发热门诊发展现状和运行困境以及构建机制的设想,《中华危重病急救医学》,2020.


下一个阶段,实际有必要在有条件的范围内做些拓展,否则做不到很多支持性检查,又不可能把患者和标本送到门诊、住院部,我们一直在呼吁应该增加功能性区域。


刚刚强调了发热门诊医务人员管理,我们的培训对象要包括每一位发热门诊及留观病区的工作人员,包括医生、护士、技师、保洁员、挂号、收费员、保安等,培训注意事项包括实操考核通过上岗、反复多次考核。


我们经常强调发热门诊鉴别诊断的重要性,其实「鉴别诊断的时效性」更重要。这是2020年一项北京协和医院发热门诊的研究,研究显示,对比在疫情爆发前1个月和后1个月分别接收非新型冠状病毒肺炎危重症患者,两个时间段患者危重程度相似,而发热门诊滞留时间在疫情爆发后明显增加了(29.52±20.81 vs. 538.25±140.39 分钟),其中耗时最长的环节为新型冠状病毒核酸检测,平均为228.90±81.00分钟,来院后7天死亡人数分别为33.3% vs. 50.0%;由于筛查过程较多,患者在发热门诊滞留时间明显延长,可能会影响危重症患者的短期预后,因此提高发热门诊鉴别新冠、流感、RSV等感染的速度,减少患者滞留时间至关重要。


流感病毒怎么采样吴文娟主任:发热门诊呼吸道病原体快速筛查丨解密流感(3)_https://www.jmylbn.com_新闻资讯_第5张

来源:王江山等,疫情期间发热门诊非新型冠状病毒肺炎危重症患者的早期救治及滞留现状分析, 中国急救医学,2020


同时,我认为从院感的层面来讲,这也可能会导致传播的风险增加。其实在新冠第一年,2020年7月,就已经提出要提高医疗机构新冠病毒核酸的检测能力,特别提到发热门诊要6个小时报告结果,争取缩短到4个小时。如果不包括运送标本的时间,出阴性结果约3个小时,如果是阳性需要复检,6个小时就无法获得报告了。2022年1月29日,国家卫健委就明确的提出所有发热门诊要配置快速检测设备。


发热门诊检验设备配置具体有哪些建议呢?这个专家共识有所提示:


流感病毒怎么采样吴文娟主任:发热门诊呼吸道病原体快速筛查丨解密流感(3)_https://www.jmylbn.com_新闻资讯_第6张
流感病毒怎么采样吴文娟主任:发热门诊呼吸道病原体快速筛查丨解密流感(3)_https://www.jmylbn.com_新闻资讯_第7张


发热门诊对鉴别诊断的时效性要求很高,对准确率的要求也很高。


新冠普遍使用核酸筛查,其实流感曾经大量使用过抗原检测,对于流感的病原学检测方法病毒分离培养是金标准,但需要2~3天的时间;病毒抗原检测很方便、能够快速诊断、15分钟可以出结果、能够区分甲/乙流,此前在儿科快检是作为首选的;病毒核酸检测能够确定流感病毒的类型,特异性和敏感性优于抗原,但需要0.5~3小时;血清学诊断主要用于回顾诊断,lgM抗体的检测意义不大。


关键问题就在于「做抗原还是做核酸」?核酸的成本可能会比抗原高,中国疾病预防控制中心做过相关研究,8种病毒采用PCR的手段进行检测,其中5岁以下儿童和学龄前儿童的病毒阳性率最高46.9%,PCR的优点是高特异性、高敏感性,而不足是需专门场地、专业的设备和操作人员。上海复旦大学附属儿科医院的另一项研究采用DFA检测,总体病毒检出率20.2%(1125/5544),而5岁以下儿童的检出率仅23.8%,DFA的优点是廉价简便,而不足是抗体检测有窗口期、敏感性低。


这两个研究不是同时做的,但总体从大人群来讲,可见核酸检测阳性率比抗原检测阳性率高,所以快速、多重的核酸检测对早期诊断和早期治疗有非常重要的意义。


现在,床旁即时诊断POCT核酸检测提高感染病诊断能力,原先PCR实验室有4个分区,出结果至少需要一个多小时,而POCT的特点是将原来的4区整合到一个小型设备上面,实现微型化、自动化、全封闭、速度快、易携带,把核酸提取、扩增、检测这三个步骤整合在一个反应体系里,然后得到定量或定性的结果。从技术原理来讲,目前有基于常规PCR的巢式PCR或多重PCR的技术,也有恒温扩增技术,如CPA、TMA、RPA、LAMP、NEAR等,其优点包括不需特殊试剂与设备、恒温反应,检测快速、高特异性,灵敏度高、操作简单,用途广泛等。


同时还可以关注多重POCT核酸检测技术的优势,在鉴别诊断时,大家都希望不是只做新冠的检测,而是同时检测多种病原体,当临床样本难以获得或样本量有限(尤其是儿科患者,第一次和第二次采样采到的细胞量可能是不一样的,得到的结果也不同,以及脑脊液标本,它并非可以像咽拭子一样可以轻易采集),多重检测系统具有更高效率。它还可以在检测靶标的时候同时内置一到多个内质控,保证检测质量,具有可靠性;也可对同一份样本中的多种病原同时进行检测,例如细菌、病毒、真菌等,可以检出共感染。


我们再次回到「发热患者就诊流程」上,一位患者来就诊,首先通过预检(以前可能是先测量体温、现在更多是做抗原检测),然后进行分诊,到了发热门诊后,我们通常进行血常规、新冠检测、CT或胸片检查,这时可以对上呼吸道病原体进行POCT的检测。近期新十条发布,提出二级以上医院都要设发热门诊,如果发热门诊没有很好的诊断、治疗分流流程,就会面临一些被动。


在样本类型方面,国外和国内都有很多的研究文献证明,遇到可能的呼吸道鼻咽部感染、上呼吸道病毒感染,应该采集「鼻咽拭子」,鼻咽拭子和鼻拭子都是可以接收的样本类型。我们也做过咽拭子相关实验,客观来讲不是那么精准,但也能检查得出来阳性。


流感病毒怎么采样吴文娟主任:发热门诊呼吸道病原体快速筛查丨解密流感(3)_https://www.jmylbn.com_新闻资讯_第8张
流感病毒怎么采样吴文娟主任:发热门诊呼吸道病原体快速筛查丨解密流感(3)_https://www.jmylbn.com_新闻资讯_第9张


下面是我们2019~2021年的流感监测数据,和大家分享一下。2019年时抗原做得比较多,这三年在逐步减少,核酸检测在逐步增加。我们已经逐步从抗原检测转换到了核酸检测。2021年,甲流的阳性率很低,我们检测的8000多例里只有3例阳性;乙流相对多一些,有830例;呼吸道合胞病毒在儿童中会多一些,在成人的发热门诊中,2021年检测了8600多例,有106例阳性。


流感病毒怎么采样吴文娟主任:发热门诊呼吸道病原体快速筛查丨解密流感(3)_https://www.jmylbn.com_新闻资讯_第10张
流感病毒怎么采样吴文娟主任:发热门诊呼吸道病原体快速筛查丨解密流感(3)_https://www.jmylbn.com_新闻资讯_第11张
流感病毒怎么采样吴文娟主任:发热门诊呼吸道病原体快速筛查丨解密流感(3)_https://www.jmylbn.com_新闻资讯_第12张


今年,我们应用Xpert® Xpress CoV-2/Flu/RSV plus进行4联检,样本类型:鼻咽拭子,病毒保存管 (3ml);检测时间:4个病原体 36分钟;单测 SARS-CoV-2只需25分钟;六个检测通道:FluA1, FluA2, FluB, RSV, SARS-CoV-2, SPC(SARS-CoV-2:一个检测通道检测三个靶标RdRP, N2, and E)。


这是我们医院截止今年12月1日的发热门诊呼吸道核酸四联检结果,FluA阳性率16.17%、FluB为12.46%,RSV为0.4%,在动态清零时期,新冠阳性率仅为0.07%。


流感病毒怎么采样吴文娟主任:发热门诊呼吸道病原体快速筛查丨解密流感(3)_https://www.jmylbn.com_新闻资讯_第13张


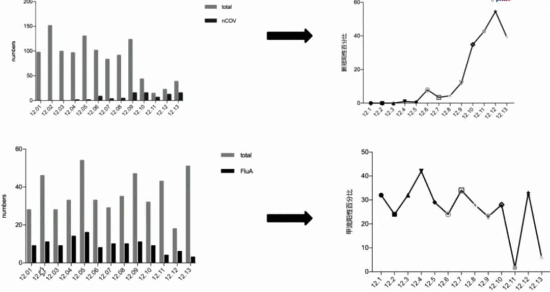
12月1日至12月13日,发热门诊患者呼吸道病毒阳性统计显示,新冠阳性率逐步升高,甲流阳性逐步下降。


流感病毒怎么采样吴文娟主任:发热门诊呼吸道病原体快速筛查丨解密流感(3)_https://www.jmylbn.com_新闻资讯_第14张


由此提示我们,发热门诊呼吸道病原体的快速筛查对我们实时监测阳性率、本地区的病毒流行情况非常有价值。


我们来看看快速一体化核酸检测系统的管理,如果要在发热门诊开展这项工作,一定要先有管理的意识,注重人员、设备、试剂、方法、环境这5个方面,去年11月份,我们发表了《病原体核酸即时检测质量管理要求专家共识》,临床更多关注的是什么症状、什么病原体、如何诊治,如果我们拿到的诊断结果就不准确,后面的一系列措施都可能出现偏差甚至错误。


病原体核酸即时检测应用场景:

流感病毒怎么采样吴文娟主任:发热门诊呼吸道病原体快速筛查丨解密流感(3)_https://www.jmylbn.com_新闻资讯_第15张


包括急诊、发热门诊、儿科的门急诊、检验科和第三方检验所,还有一个特别重要,「特定病区」指的是定点医院、亚定点医院,这些地点也会需要快速的病原鉴别诊断方法。


「生物安全的管理」的一些要求,应在符合国家和地方生物安全法规,以及医院感染管理条例的前提下开展病原体核酸POCT。分子POCT系统为整合一体化封闭系统,这意味着扩增和检测步骤均发生在封闭空间中可有效防止生物样本及其遗传物质污染环境。因此核酸POCT的检测环节对检测人员构成的风险较小,但是标本采集期间以及样本加入试剂卡/盒环节,会与患者和样本直接接触,仍存在病原体暴露风险,除严格按照产品说明书推荐的方式操作患者标本,以降低气溶胶的形成、溢出和暴露的风险外,检测区域至少具备有生物安全柜和高压灭菌器等生物安全二级实验室必须的设备,保证有传染风险的标本前处理(例如痰液标本的液化处理、标本的分装等)的生物安全。


对标本的采集和预处理:

流感病毒怎么采样吴文娟主任:发热门诊呼吸道病原体快速筛查丨解密流感(3)_https://www.jmylbn.com_新闻资讯_第16张


我们要深刻领会到标本采集是很重要的,标本采集得好,在真正感染的情况下,阳性率就会高。对于正确的采样方法,其实在十四年前,我们就已经在不断认识应该怎么采样,图中所示是鼻咽拭子正确的取样方法。


采样容器及保存液的选择:


病原体核酸POCT设备和配套试剂都必须获得NMPA(国家药品监督管理局)批准后方可应用于临床。应使用试剂厂家配套的采样容器及保存液进行标本采集。配套的采样容器和检测系统在临床使用之前应进行性能验证。不推荐使用非配套采样器械。特殊情况下如需使用非厂家检测试剂配套的标本采样容器及保存液,需在标本采集前对采样容器及保存液进行性能确认。


标本的采集及预处理:


病原体核酸POCT检测的标本类型主要有:咽拭子、鼻拭子、鼻咽拭子、血液、宫颈标本、痰液、尿液、粪便、脑脊液、穿刺液、组织等,各类标本采集方法与常规分子生物学检测要求一致。


标本采集方法和标本类型的选择、标本的稳定性、运输温度和时间、接收标准保存条件等应严格遵循产品说明书规定。


标本采集后按照操作说明书检测,痰液、粪便、组织等标本的液化操作需遵照厂家说明书规定,需要特别注意,标本上样量不宜过多,避免杂质干扰核酸检测效率。


检验程序性能验证:


在常规应用前,应由实验室对POCT检测系统进行独立的性能验证,以证实检测程序性能与其所声明性能指标相符。任何严重影响检验程序分析性能的情况发生后,应在检验程序重新启用前对受影响的性能进行验证。


病原体核酸POCT主要包括定性和定量检测项目,不同项目性能验证参数有所侧重。定性检测项目需验证的性能指标至少包括符合率、精密度(重复性和再现性)和检出限等。定量检测项目需验证的性能指标至少包括正确度、精密度、线性区间、定量限等。


对于多重病原体核酸检测,宜尽量覆盖常见病原体种类及基因型。


对于实验室来讲,一个检测系统应用之前要进行定性项目的性能验证


1)符合率:选取阴性样本至少5例,阳性样本(应包含弱阳性样本)一般不少于10例。若无法获得足量阳性样本,可使用人工制备模拟样本;若弱阳性样本不好获取,可用适当稀释阳性样本获得类似效果。阴性样本中应包含与检测对象核酸序列具有同源性、易引起相同或相似临床症状的样本。按照检测程序进行检测,将检测结果与已知检测结果进行比对,计算符合率。符合率≥90%为验证通过。


2)精密度(重复性和再现性):新鲜或冻存的阴性和弱阳性样本各1份。若无法获得足量临床阳性样本,可适当稀释阳性样本或使用人工制备模拟样本。按照检测程序每天检测3次,连续检测3天(若多人操作应更换操作人员)。对于多通道POCT设备,每个检测通道至少检测一次。阴性和弱阳性样本检测结果应完全一致。


3)检出限:将一份定值标准物质(如国际参考品、国家参考品、厂家参考品等)梯度稀释至厂家声明的检出限浓度;可重复测定5次或在不同批内对该浓度样本进行20次重复测定(如测定5天,每天测定4份样本)。如果是5次重复检测,必须100%检出靶核酸;如果是20次检测,必须检出至少18次靶核酸。


对于临床医生,也可以了解一下我们的质量保证措施


实验室应建立并实施涉及检测全过程的标准操作程序,包括但不限于标本采集、运送、保存,标本接收和预处理、检测操作和复检流程、结果报告和解释、仪器设备维护、性能验证、室内质量控制和室间质评等,有条件的实验室可建立个体化质量控制计划( IQCP)。实验室使用多台或多个品牌POCT仪器时,在常规运行中,要遵循医院POCT管理文件规定进行定期仪器间比对。


另外,实验室应进行「室内质量控制」,以监控检测过程的稳定性。应制定室内质量控制程序,程序中应有针对核酸检测中防污染的具体措施。


>POCT检测通常每个样品都包含一个内部对照(内标),而外部质控品(应包括阳性和阴性)作为单独的样品运行。

>内标在控表明正确提取了患者样本,这是获得正确结果的必要步骤。
>外部质控品则评估检测系统是否提供正确结果。
>完整的室内质控程序可以控制检测过程、评价检测系统性能,提供质量保证。
>室内质控品应设置阴性质控品(监测污染)和弱阳性质控品(防止假阴性)。
>首次使用时,应先检测弱阳性质控品和阴性质控品,质控合格后,开始临床样本检测。
>之后宜每隔24小时或者50个样本(根据工作场所标本量情况设定),需再次检测弱阳性质控品。
>对于多重核酸检测系统,建议在一个批次试剂检测周期内尽可能覆盖常见病原体种类及型别。
>定性检测项目的质控数据判断需要符合预期阴阳性结果。
>定量检测项目弱阳性质控结果建议采用Westgard多规则进行判定。
>质控结果在控才能发出报告。
>应制定程序对失控进行分析并采取相应措施,应检查失控对之前患者样本检验结果的影响。


特别强调一点,就是「结果分析和报告」:当POCT系统运行良好、检测结果后台数据(包括内参以及待检病原)无误、室内质控在控时,即是有效结果,可按设备提供的阳性或阴性结果进行报告。


高致病性病原微生物阳性结果(如霍乱弧菌、新型冠状病毒、结核分枝杆菌、百日咳鲍特菌等),实验室应在核查后台数据后(必要时需要进行复检)第一时间将结果报告送检医生,并按规定执行危急值报告和传染病报告制度。


在重大传染病管控中,应遵循国家法律法规和管理规范进行报告。如新冠病毒核酸快速检测结果阳性时,应使用另外一到两种更为灵敏或扩增不同区域的非快速核酸检测试剂对原始样本进行复检,复核阳性方可报告结果。


此外,部分POCT试剂会产生耐药基因阳性结果(如MRSA、CRE、利福平耐药等),或者高毒性菌株或毒株(如艰难梭菌高毒性027菌株等),实验室需要结合相应病原的鉴定结果对耐药基因进行判读,并对耐药基因结界进行相应备注。必要时复查,并与中心实验室分子检测和微生物培养药敏结果核对。


POCT结果报告单上须醒目注明「POCT及检测方法」字样,并注明所用POCT设备和试剂名称。发布报告时应将检查结果录入实验室信息系统(LIS)保存备份以便查询,并与医院HIS系统相连接。


特别注意:(1)由于POCT所检测的病原受到种类限定,因此报告单上应明确标明所检测的所有病原,并注明某种病原检测阳性或上述病原检测阴性,而不能简单描述为病毒阴性、细菌阴性等。


(2)由于核酸检测通常无法区分有活力和无活力、或定植和活动性感染的病原体,因此其阳性结果也仅表明在当前样本中某种病原DNA或RNA检测阳性,不代表一定由该病原引起的感染;反之,由于POCT通常基于特异性引物靶向某种病原微生物进行检测,当病原的该区域序列发生突变时,可能会出现由于缺乏对该序列的检测而导致假阴性,不代表一定不存在该病原引起的感染。因此建议在报告单上进行备注说明,临床医生也需结合临床实际情况和其他检测结果进行综合判断。


需要提示下大家,核酸检测可能仅是个预警,我们后续还要验证表型。


当出现哪些情况时,需要进行重新检测?


①质控未通过,结果显示为无效时;

②后台数据与POCT结果不相符时(例如后台数据出现明显扩增峰,但由于阀值或灰区问题导致 POCT 报告阴性结果);
③与常规结果不符(尤其针对强传染性病原阳性结果)、临床医生认为有必要重新检测时。


当重新检测结果仍然出现相同情况时,应当与临床医生充分沟通现有检测结果和原因,并考虑是否重新采集样本再检测。


前景与展望:新的技术在不断的发展,希望能够有更多快速、整合、多重的设备和技术来满足临床需要。新冠既不是开始,也不是结束,我们永远要在疾病监测的路上。


本期直播嘉宾

流感病毒怎么采样吴文娟主任:发热门诊呼吸道病原体快速筛查丨解密流感(3)_https://www.jmylbn.com_新闻资讯_第17张

吴文娟

同济大学教授,主任技师,博士研究生导师,附属东方医院南院医学检验科主任。上海交通大学医学院病原生物学博士,美国范德堡大学医学院、梅奥医学中心、约翰霍普金斯医院访问学者。中国女医师协会检验医学分会副主任委员、中华医学会检验医学分会临床微生物学组委员、中国医学装备协会基因检测分会常委、上海市微生物学会临床微生物学专委会主任委员、上海市遗传学会检验医学分会副主任委员、上海市医学会分子诊断分会感染病学组组长、上海市医学会检验医学分会微生物学组组长、中国合格评定国家认可委员会主任评审员。研究方向为病原微生物快速检测及耐药机制研究、医院感染控制等。



本文由《呼吸界》编辑 Jerry 整理、排版,感谢吴文娟教授的审阅!

流感病毒怎么采样吴文娟主任:发热门诊呼吸道病原体快速筛查丨解密流感(3)_https://www.jmylbn.com_新闻资讯_第18张


* 感谢赛沛(上海)商贸有限公司 的大力支持


本文完

责编:Jerry


推荐阅读

1

新冠病毒免疫逃逸的突变规律与预测丨解密流感(1)

2

蒋荣猛教授:呼吸道传染病病原体检测专家共识解读丨解密流感(2)

3

重症COVID-19的高危因素和治疗策略——根据NEJM、《NEJM期刊荟萃》和NIH相关内容梳理


关注我们


流感病毒怎么采样吴文娟主任:发热门诊呼吸道病原体快速筛查丨解密流感(3)_https://www.jmylbn.com_新闻资讯_第19张

点击文末「阅读原文」进入《呼吸界》直播间