吸入氧浓度怎么读文献精读 | 体外循环下的心脏手术术中氧浓度对老年患者术后认知功能的影响

新闻资讯2026-04-21 07:15:09
吸入氧浓度怎么读文献精读 | 体外循环下的心脏手术术中氧浓度对老年患者术后认知功能的影响_https://www.jmylbn.com_新闻资讯_第1张

点击上方蓝色字体,关注我们

点击上方 “米勒之声”  → 点击右上角...” → 点选“设为星标

 ”,为米勒之声加上星标,以后找我们就更方便啦

本文由“山中麻署”授权转载

吸入氧浓度怎么读文献精读 | 体外循环下的心脏手术术中氧浓度对老年患者术后认知功能的影响_https://www.jmylbn.com_新闻资讯_第2张




背  景


BACKGROUND

   全球每年有超过一百万患者接受体外循环的心脏手术,其中约三十万手术在美国完成。认知功能恢复延长和认知功能障碍作为心脏手术在神经系统的常见并发症,其在出院时发生率高达80%,术后6个月高达20%-40%;且接受心脏手术的老年患者居多,该类患者更易发生长期术后认知功能障碍,影响生活质量,增加死亡风险。

    氧气是目前医院使用最常见最广泛的治疗手段,理论上吸氧可避免低氧血症并维持组织氧合。然而近期报道过度供氧造成高氧血症会损害机体,尤其在缺血再灌注的情况下。

    通常,在体外循环下的心脏手术中,患者暴露于极高的缺血再灌注风险,为防治心肌和脑缺氧常给予高浓度氧气。鉴于心脏手术中高氧状态与术后认知功能障碍之间的可能联系,本研究作者进行了一项前瞻性临床试验以探索术中正常氧浓度与术中高氧对术后认知功能的影响。研究假设术中正常氧分压(基于患者氧饱和度及血气结果滴定调整氧浓度),与标准实践高氧分压相比,正常氧分压可减少老年患者心脏手术术后认知功能障碍。其次,研究假设术中正常氧分压可降低谵妄的发生率、严重程度及持续时间,减少住院和带管时间,并改善术后6个月的认知功能。



方  法

METHODS

试验设计

    本项平行随机对照试验纳入了2015年7月至2017年7月波士顿马塞诸塞州Beth Israel Deaconess医疗中心的患者。2015年2月2日获得伦理委员会通过,所有患者签署知情同意书。

    研究对象为65岁及以上接受择期体外循环下冠脉搭桥手术的患者;排除患者接受急诊搭桥手术,需要术中单肺通气,非体外循环,或术前有心源性休克(如术前使用正性肌力药物,主动脉内球囊反搏,或机械循环支持);排除不会英语交流的患者,避免因交流问题导致术后认知功能评估误差。

研究过程

    全麻插管后连接呼吸机,并在整个手术过程中调整呼吸机设置。在正常氧浓度组(后简称“常氧组”),吸入氧浓度(FiO2)设置为最小值0.35以维持动脉氧分压高于80mmHg或指脉氧饱和度大于等于92%。在体外循环前后,必要情况下滴定吸入氧浓度以防止低氧血症(氧饱和度小于92%)。在体外循环期间,滴定混合空气/氧气浓度使动脉氧分压维持在100-150mmHg之间。在高浓度氧气组(后简称“高氧组”),吸入氧浓度在整个手术过程中,包括体外循环期间始终维持1.0。外科医生,麻醉医生和体外灌注师在两组均保有临床操作的自由裁量权。机械通气设置基于常规标准,即6-8ml/kg(理想体重)潮气量和5cmH2O呼气末正压。

研究结局

     本研究的主要结果是术后认知功能,在术后第二天进行电话蒙特利尔认知功能评估。术前测试认知功能作为基线,术后每日评估直至出院,患者在ICU且无法说话不进行评估。电话蒙特利尔认知功能评估是改良的蒙特利尔认知功能评估,经验证对检测轻微认知功能障碍具有高灵敏度。该评估以22分制进行打分,分数越低认知功能障碍越严重。该分数包含了注意力,理解力,执行力,记忆,语言,概念思维,计算和方向辨别的总分。这项评估不需要写作或视觉提示即可完成,因此适合面对面或电话进行。除了主要结果外,神经认知功能评分在术后第一,第三,第六个月通过电话随访的方式进行评估作为次要结果。研究人员联系患者直到他们的呼叫时间窗口到期(术后1月随访时间窗为前后7天,术后3个月6个月随访时间窗为前后14天),或呼叫超过10次即为失访。本研究使用简短的电话蒙特利尔认知功能评估的原因是使术后第二天面对面随访与术后第一、三、六个月电话随访的结果保持一致。

    其它次要结果包括术后谵妄的发生率及严重程度,拔管时间,机械通气时间,ICU及住院时间,术后30天及6个月死亡率。术后谵妄在术后每日评估直至出院,使用意识模糊评估法(Confusion Assessment Method)或对插管无法语言的患者使用ICU版意识模糊评估法(Confusion Assessment Method-ICU)对患者进行谵妄评估。与电话蒙特利尔认知功能评估一样,研究人员对患者进行谵妄评估也采用双盲法。谵妄的严重程度使用长期意识模糊评估法严重程度评分,该评分从0到19进行打分,分数越高谵妄越严重。拔管时间指患者从开始手术插管到最终拔管的小时数。住院时间指患者术后的住院天数,住ICU时间指患者入住ICU到转运至普通心外科病房的天数。

样本量评估

    以电话蒙特利尔认知功能评估差异作为主要结果,本研究确定了最小样本量为两组共74人。考虑到潜在长期失访和退出患者,共计100名患者纳入本研究。

统计分析

    根据变量的类型和分布,描述性数据以平均值±标准差,中位数(四分位间距),计数或比例呈现。连续数据的正态性用夏皮罗-威尔克检验评估。使用独立样本T检验或Wilcoxon秩和检验评估连续变量的差异。分类变量的差异使用卡方检验或Fisher精确检验进行评估。该研究的主要结果,术后第二天电话蒙特利尔认知功能评估分数,使用非参数Wilcoxon秩和检验。数据位移和95%可信区间使用霍奇斯-莱曼估计移位报告。随访时两组认知功能差异仍然使用Wilcoxon 秩和检验进行评估。在事后分析中,对所有参与者进行谵妄发生率的评估,但只对发生谵妄的患者进行谵妄时间及严重程度评估。P小于0.05被认为有统计学意义。



结 果


RESULTS

研究对象基本情况

    本研究共筛查了492名患者,其中343名符合纳入标准。共有100名患者随机接受研究干预,并进行分析(图一)。总体而言,本研究大部分研究对象为男性(84%),白种人(95%),中位数年龄为71岁(四分位间距,65至75岁),术前基线电话蒙特利尔认知功能中位数评分为17分(四分位间距,16-19分)。所有患者仅接受冠脉搭桥手术。两组间的基线人口统计学数据,术前合并症,及既往手术史无统计学差异(表一)。两组术前认知功能基本情况无统计学差异,两组大部分参与者独自居住并拥有高中以上学历。

吸入氧浓度怎么读文献精读 | 体外循环下的心脏手术术中氧浓度对老年患者术后认知功能的影响_https://www.jmylbn.com_新闻资讯_第3张

▲ 图 1

吸入氧浓度怎么读文献精读 | 体外循环下的心脏手术术中氧浓度对老年患者术后认知功能的影响_https://www.jmylbn.com_新闻资讯_第4张

▲ 表 1

术中干预情况

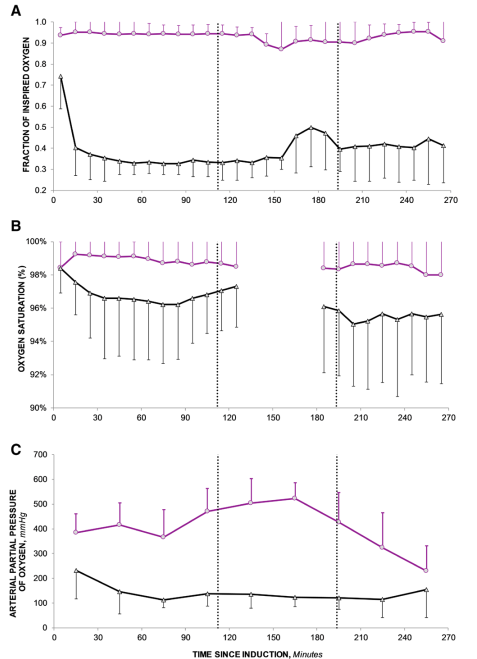
    患者气管插管后即按照研究方案执行。高氧组术中PaO2中位数浓度为309mmHg(四分位间距285-352mmHg);常氧组术中中位数PaO2浓度为153mmHg(133-168mmHg)(P<0.0001)。高氧组术中中位数氧饱和度为99.2%(98.6%-99.6%),常氧组术中中位数氧饱和度为96.7%(95.7%-97.8%)(P<0.0001,图二)。其他术中情况见表二。两组与术中体外循环相关的数据,包括主动脉阻断时间(69[54-80] vs 69[57-78]分钟; P=0.89)及体外循环时间(83[66-97] vs 81[68-91]分钟; P=0.67)无统计学差异。

吸入氧浓度怎么读文献精读 | 体外循环下的心脏手术术中氧浓度对老年患者术后认知功能的影响_https://www.jmylbn.com_新闻资讯_第5张

▲ 图 2

吸入氧浓度怎么读文献精读 | 体外循环下的心脏手术术中氧浓度对老年患者术后认知功能的影响_https://www.jmylbn.com_新闻资讯_第6张

▲ 表 2

主要结果

    高氧组与常氧组之间术后第二天中位数电话蒙特利尔认知功能评分无统计学差异(18[16-20] vs 18[14-20]; P=0.42)。术后第二天常氧组与高氧组的组间差异为-1(95%可信区间,-2-1)。值得注意的是,有10名患者(10%)由于带管时间过长,患者拒绝,或退出研究,而没有评估主要结果。图三描绘了两组间认知功能恢复的轨迹。尽管两组随着时间增加认知功能都有轻微的恢复,这很可能归因于已知的重复测试。当按性别进行分层分析时,男性术后第二天电话蒙特利尔认知功能评分为18(14-20),女性为18(16-19)。两组间在术后1个月,3个月,6个月的认知功能评分无统计学差异。这些结果,尤其是长期随访的结果,需要被谨慎解释,因为仅55%的患者在术后6个月被联系到。

吸入氧浓度怎么读文献精读 | 体外循环下的心脏手术术中氧浓度对老年患者术后认知功能的影响_https://www.jmylbn.com_新闻资讯_第7张

▲ 图 3

其他次要结果

    高氧组术后谵妄的发生率为30.6%,而常氧组术后谵妄的发生率为31.4%(P=0.93)。表三描述了两组患者的临床结果。高氧组与常氧组之间的住院时间(8[5-11] vs 7[5-10]天;P=0.70)及住ICU时间(2[1-3] vs 1[1-3]天;P=0.34)无统计学差异。没有发现与研究干预相关的不良事件。两组间术后并发症,包括死亡,脑卒中,肺炎,急性肾损伤,再手术,术后房颤无统计学差异。

    在对术后谵妄的患者进行事后分析,高氧组与常氧组之间谵妄的持续时间(1[1-2] vs 2[1-3]天;P=0.17)及谵妄严重程度(由意识模糊评估法评估,11[8-13]  vs 8[7-11]分;P=0.23)无统计学差异。

吸入氧浓度怎么读文献精读 | 体外循环下的心脏手术术中氧浓度对老年患者术后认知功能的影响_https://www.jmylbn.com_新闻资讯_第8张

▲ 表 3



结 论

CONCLUSION 

    本研究表明,与传统术中高浓度供氧相比,在心脏手术中根据患者的氧饱和度及动脉血氧分压滴定术中供氧浓度,并不增加患者术后认知功能障碍的风险。



原始文献:

Shaefi, S., et al., Intraoperative Oxygen Concentration and Neurocognition after Cardiac Surgery. Anesthesiology, 2021. 134(2): p. 189-201.


吸入氧浓度怎么读文献精读 | 体外循环下的心脏手术术中氧浓度对老年患者术后认知功能的影响_https://www.jmylbn.com_新闻资讯_第9张


吸入氧浓度怎么读文献精读 | 体外循环下的心脏手术术中氧浓度对老年患者术后认知功能的影响_https://www.jmylbn.com_新闻资讯_第10张


NO.1

往期推荐

Historical articles











杨建军教授:全身麻醉机械通气期间需要实施肺保护策略吗?




免责声明:

本微信公众平台所刊载原创或转载内容不代表米勒之声的观点或立场。文中所涉及药物使用、疾病诊疗等内容仅供医学专业人士参考。

吸入氧浓度怎么读文献精读 | 体外循环下的心脏手术术中氧浓度对老年患者术后认知功能的影响_https://www.jmylbn.com_新闻资讯_第11张
END


编辑:MiLiu.米鹭

校对:Michel.米萱

米勒之声编辑部
米勒之声,用心相伴


关注米勒之声

关注麻醉及围术期领域新动态

米勒之声,总有一天,会有您的心声

吸入氧浓度怎么读文献精读 | 体外循环下的心脏手术术中氧浓度对老年患者术后认知功能的影响_https://www.jmylbn.com_新闻资讯_第12张