前列腺机器怎么治疗法国报道机器人水刀射流消融治疗良性前列腺梗阻 (前列腺体积小到中等大小)的效果(2)

新闻资讯2026-04-21 02:41:07

    水刀机器人消融是以水为介质开展的一种新型前列腺消融性手术。法国发表了一项研究,对多中心前瞻性登记的小到中等大小的前列腺患者围手术期以及随访时间为12个月时的功能性治疗预后进行报道。这是第2部分。

(接上期)

3 .研究结果

3.1患者特征

    共有30名患者符合研究标准,平均年龄为68岁(61~72岁不等)。2017年9月~12月期间,这些患者分别在法国三个诊疗中心接受了治疗。3个诊疗中心就诊的患者数量分别为6人(诊疗中心1),16人(诊疗中心2)以及8人(诊疗中心3)。患者的特征详见表1。共有4名患者(13.3%)报道称存在急迫性尿失禁症状,入院治疗前1个月时,共有23名性活跃患者,占比76.7%。

前列腺机器怎么治疗法国报道机器人水刀射流消融治疗良性前列腺梗阻 (前列腺体积小到中等大小)的效果(2)_https://www.jmylbn.com_新闻资讯_第1张

3.2围手术期的治疗预后情况

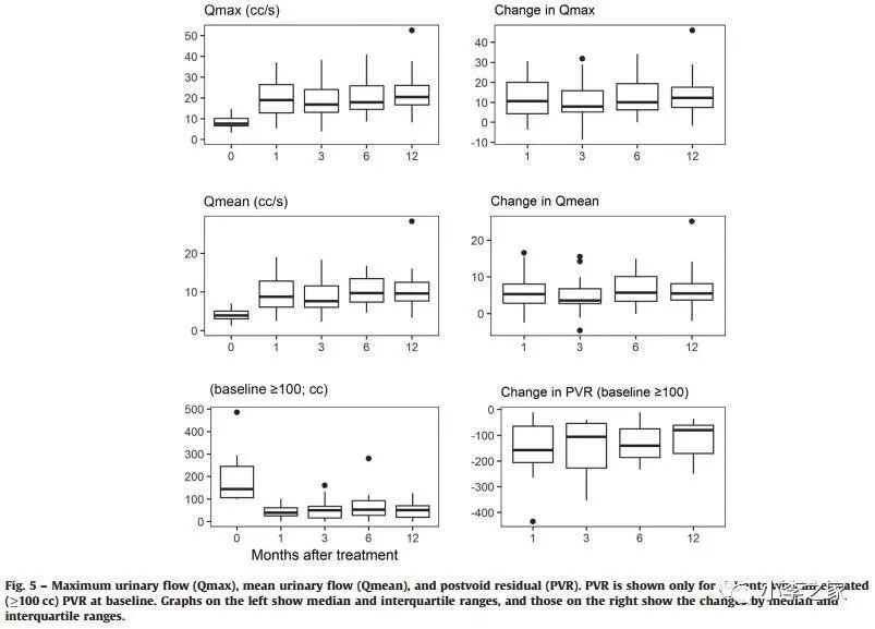
    共有6名患者接受了硬膜外麻醉,其他24名患者采用全麻。将上手件到最终上导尿管的间隔时间定义为平均手术时间,用时30.5分钟(24~35)表2。平均切除时间为4分钟(3.1~4.9)。水刀平均切1.3刀切除腺体。需要一刀,两刀以及超过两刀切除的患者比例分别为63%,27%以3.3%(2名患者的数据丢失)。导尿管的平均留置时间为43小时(23-49小时不等)。出院时的平均血红蛋白水平为12.2(11~13)g/dl。平均住院时间为2天(2~4天不等)。所有患者在出院时均拔除了导尿管(表2)。所有患者均接受了随访研究。在6个月的随访时间内,患者的平均IPSS评分有所改善,变为3(1~6不等),其平均变化幅度为15.6分(95%的置信区间,13-18.2不等),这超出了研究预设的主要重点阈值(p<0.0001)。随访时间为12个月时,患者的IPSS改善情况也具有一致性(图4)。在IPSS中的问题8方面,其评分也得到了显著改善(4分,3~5分不等)。IPSS排尿分量表的改善幅度为10分(7.2~13分),IPSS储尿分量表的改善幅度为5分(4~8分不等)。尿流率测定方面也得到了显著改善。随访时间为12个月时,Qmax以及PVR分别改善至20.4ml/s(17~26不等)以及54±64ml(图5)。在治疗前PVR较高(>100 ml)的患者(n=11)中,PVR从144 cc(106~245)改善至50.5 cc(19~70),改善幅度为93 cc(p=0.0047)。平均前列腺特异性抗原水平从治疗前的2.5(1.9~5)变为随访时间为12个月时的1.7(1.2~3.3)(p=0.0008)。23名治疗前性活跃的患者,其平均基础MSHQ评分为7.5±4.9。治疗前以及随访过程中的性活跃患者,其整体MSHQ评分和MSHQ干扰域子评分略有降低(干扰域子评分是暂时性的),但统计学差异并不显著(图6)。根据IIEF测定结果,勃起功能水平随着时间的推移略有降低(图7)。

前列腺机器怎么治疗法国报道机器人水刀射流消融治疗良性前列腺梗阻 (前列腺体积小到中等大小)的效果(2)_https://www.jmylbn.com_新闻资讯_第2张

前列腺机器怎么治疗法国报道机器人水刀射流消融治疗良性前列腺梗阻 (前列腺体积小到中等大小)的效果(2)_https://www.jmylbn.com_新闻资讯_第3张

前列腺机器怎么治疗法国报道机器人水刀射流消融治疗良性前列腺梗阻 (前列腺体积小到中等大小)的效果(2)_https://www.jmylbn.com_新闻资讯_第4张

前列腺机器怎么治疗法国报道机器人水刀射流消融治疗良性前列腺梗阻 (前列腺体积小到中等大小)的效果(2)_https://www.jmylbn.com_新闻资讯_第5张

前列腺机器怎么治疗法国报道机器人水刀射流消融治疗良性前列腺梗阻 (前列腺体积小到中等大小)的效果(2)_https://www.jmylbn.com_新闻资讯_第6张

前列腺机器怎么治疗法国报道机器人水刀射流消融治疗良性前列腺梗阻 (前列腺体积小到中等大小)的效果(2)_https://www.jmylbn.com_新闻资讯_第7张

前列腺机器怎么治疗法国报道机器人水刀射流消融治疗良性前列腺梗阻 (前列腺体积小到中等大小)的效果(2)_https://www.jmylbn.com_新闻资讯_第8张

   根据CEC的评判,在210天内,共出现了23项围手术期并发症(表2)。随访时间为6个月时,Clavien-Dindo 2级并发症的发生率为13.3%,Clavien-Dindo 3级并发症的发生率为13.3%,其中1名患者有2项并发症(CD2和CD3)。3名患者出现了Clavien-Dindo3a级并发症(1例排尿困难症状,需要使用内镜方法对尿道结石进行治疗;2例尿道狭窄症状,需要进行扩张治疗)。1名患者出现了Clavien-Dindo 3b症状,因出血需要再次手术清除血凝块,术中用双极电凝止血,在水消融治疗当天进行了输血。8名患者(26.7%)出现了射精功能障碍症状。在研究随访过程中,未发现尿失禁,勃起功能障碍或因BPH症状需要再次进行治疗的相关报道。

4.讨论 

    当前的多中心前瞻性登记研究所涉及的文献数量越来越多,这进一步支持了采用水消融方法治疗BPO的安全性,可靠性及可重复性。即便在患者样本数量较少的情况下,在症状缓解疗效方面,也具备可重复性。作者观察到经过水消融治疗后,BPO相关症状得到了显著改善,同时尿流率也得到了改善,与治疗前相比,随访时间为1年时,患者的PVR也有所降低。观察到的症状评分变化情况与先前研究中所观察到的一致,并且符合对研究主要终点开展的统计学计算情况。

    患者在切除时间方面也具有可重复性。水刀机器人的一个主要的优势是能够快速可靠的处理移行带,这主要归功于手术中所使用的机器人辅助自动技术。初步研究显示:手术平均时间为30分钟(对体积小于<80 cc的前列腺,组织切除时间为4分钟)。即使医生先前没有该手术的临床经验,但是该研究结果却仍然与先前一系列报道的研究结果一致。

    该技术在勃起和神经功能方面的疗效也具有可重复性。根据MSHQ和IIEF的调查研究显示,患者的性功能在较大程度上得到了保留。Bach等人也报道了相似的研究结果,我们的研究证实有73.3%的患者,其顺行射精功能得以保留。文献中报道的射精功能障碍从10%(前列腺体积从30cc~80cc不等)到6.5%(前列腺体积从60cc~150cc不等)不等。射精功能障碍与术前前列腺大小有关。前列腺体积越小,超声扫描的难度就越大。然而,在亚组分析中,患者射精功能障碍的发生率比较相近:前列腺体积<100cc的患者为17%,前列腺体积>100cc的患者为14%。水刀治疗一个月后,患者症状评分下降与其术后早期康复过程有关,之后患者的性功能/性活跃度也得以恢复。这两项研究的潜在缺点为研究人员假定患者均为性活跃状态,因此,这并不一定适用于围手术期。此外,如果在研究前,患者未处于性活跃状态,则该评分无效。

    患者的术后血红蛋白下降程度以及Clavien- Dindo副反应也具有可重复性。虽然本研究并不能直接比较分析机器人水刀与TURP技术的安全性,但作者观察到患者出现严重安全副反应的发生率比较合理,仅有1名患者(3.3%)因出血需要再次手术干预。研究报道的血红蛋白下降程度(29g/dl)与先前文献报道的相一致,但患者的输血率并不高。然而,为了将患者的并发症(因出血引发的问题)发生率降至最低,将来或许应该进一步改善止血方法。

    本队列研究(8/30,27%)表明,与TURP或其他手术方法相比,术后不射精的发生率显著较低,这一步证实了先前的临床试验结果。这或许是因为在影像引导和机器人辅助条件下开展靶向组织切除,可避免对患者性功能的关键结构造成损伤。治疗BPH的方法包括TURP,经尿道激光剜除术以及其他治疗方法。初步的临床经验表明对前列腺大小为30~80 cc的BPH患者来讲,机器人水刀是一种安全有效的治疗方法。新近发表的一项研究表明,对于大前列腺(80~150 cc,本研究未涉及)的男性患者来讲,机器人水刀消融或许也是一种可行的治疗方法。

    尽管本研究具有包括前瞻性多中心设计在内的一些优势,但仍旧存在一些局限性。首先,缺乏对照组,样本数量也相对较少。尽管如此,所有功能性变量在统计学上都是显著的,这表明前列腺尺寸对治疗预后的影响较大。另外一个局限性为在保留射精功能的客观性方面缺乏同质性。对特别强调要求保留射精功能的患者,适当优化该技术,保留更多的前列腺顶部组织,可以更好的改善性功能。本研究包括一些不太关注术后性功能的患者,患者也并没有特别要求保留射精功能。

5.研究结论

    该研究报告详细阐述了前瞻性多中心登记机构中使用机器人水刀消融治疗的情况。尽管每名医生开展治疗的患者数量少,但是其围手术期以及治疗后1年时的功能性预后情况与先前报道的情况一致。研究表明:经验并不丰富的医生使用该项技术也有很高的复制性。

----Vincent Misrai, Enrique Rijo, et al. WaterjetAblation Therapy for Treating Benign Prostatic Obstructionin Patients with Small- to Medium-size Glands:12-month Results of the FirstFrench Aquablation Clinical Registry [J]. European Association of Urology.