dr医疗怎么下降中国DR指南下的中国方案—— 康柏西普治疗DME的5+PRN强化治疗研究

新闻资讯2026-04-20 23:16:01

编者按


为更好指导全科医师、眼科专科医师和眼底病专业医师,助力规范我国DR的预防、筛查、转诊、干预、全身管理和患者教育,中华医学会眼科学分会眼底病学组牵头制定了《我国糖尿病视网膜病变临床诊疗指南(2022年)−基于循证医学修订》。

2022年中国DR指南链接

指南中明确推荐DME的抗VEGF需要早期、强化负荷治疗,建议采取5-6针的初始治疗方案。而国内已经有研究进行了提前的践行,发现康柏西普5+PRN治疗DME视力改善更佳,CMT下降更明显;患眼仅需较少的PRN次数即可维持更稳定的疗效可维持更稳定的疗效。我们一起看看这个康柏西普治疗DME的5+PRN强化治疗研究吧!



01

研究背景


糖尿病视网膜病变是全球工作年龄人群重要的致盲因素,随着人口老龄化的加剧,发病人数逐年增加。糖尿病性黄斑水肿(DME)是糖尿病视网膜病变最常见的引起视力丧失的原因,对患者的视力损害极大。目前针对DME的治疗向玻璃体腔注射VEGF药物属于一线治疗方法1

为致力于患者更大的视力获益,不同的抗VEGF治疗方案也在探索中,那么康柏西普每月1次、连续3个月起始治疗后进行按需治疗(3+PRN)和起始连续注射5个月后按需治疗(5+PRN)两种不同方案治疗DME的疗效和安全性,究竟谁更胜一筹呢?


02

研究方法1


深圳市人民医院杨明明教授及其团队选取了2019-12/2020-06期间于该院就诊的DEM患者51例92眼纳入研究,据治疗方案分为3+PRN组(26例48眼)和5+PRN组(25例44 眼)。治疗后至少随访12个月(mo),观察两组患者最佳矫正视力(BCVA)、中心凹视网膜厚度(CMT)的变化情况,玻璃体腔注药次数。


03

研究结果1


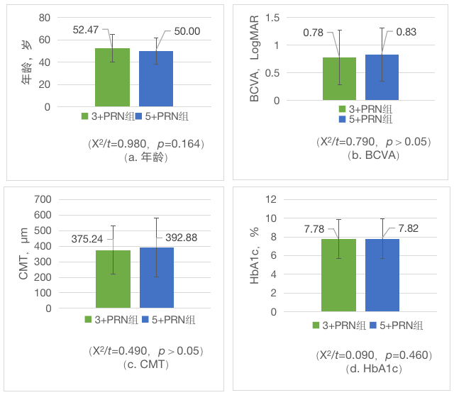
两组患者年龄、性别构成比、BCVA、CMT和糖化血红蛋白(HbA1c)水平的相当


3+PRN组和5+PRN组的患者男/女性别构成比分别为12/14例和13/12例(=0.170,=0.680),两组患者年龄、性别构成比、BCVA、CMT、HbA1c水平比较,差异均无统计学意义(>0.05),见图1。

dr医疗怎么下降中国DR指南下的中国方案—— 康柏西普治疗DME的5+PRN强化治疗研究_https://www.jmylbn.com_新闻资讯_第1张

图1.两组患者年龄(a)、BCVA(b)、CMT(c)和HbA1c(d)水平的变化情况


两组患者注药次数比较


随访12mo, 3+PRN组、5+PRN组患者平均注药次数分别为7.24±0.91、7.56±1.04次,差异无统计学意义(=1.206,=0.117),见图2。

dr医疗怎么下降中国DR指南下的中国方案—— 康柏西普治疗DME的5+PRN强化治疗研究_https://www.jmylbn.com_新闻资讯_第2张

图2.两组患者注药次数比较


两组患者治疗前后BCVA比较


治疗前后两组患者BCVA比较,差异有统计学意义(组间=6.53,组间=0.03;时间=12.89,时间<0.05;组间×时间=6.92,组间×时间<0.05),见表1。治疗后3、6、9、12mo,两组患者BCVA均较治疗前改善,差异均有统计学意义(<0.05)。治疗后6、9、12mo,5+PRN组患者BCVA均优于3+PRN组,差异均有统计学意义(<0.05)。


表1.两组患者治疗前后BCVA比较

dr医疗怎么下降中国DR指南下的中国方案—— 康柏西普治疗DME的5+PRN强化治疗研究_https://www.jmylbn.com_新闻资讯_第3张


两组患者治疗前后CMT比较


治疗前后两组患者CMT比较,具有组间差异性和时间差异性(组间=8.34,组间=0.01;时间=46.32,时间<0.05;组间×时间=0.57,组间×时间=0.51),见表2。治疗后3、6、9、12mo,两组患者CMT均较治疗前降低,差异均有统计学意义(<0.05)。治疗后6、9、12mo,5+PRN组患者CMT均低于3+PRN组,差异均有统计学意义(<0.05)。


表2.两组患者治疗前后CMT比较

dr医疗怎么下降中国DR指南下的中国方案—— 康柏西普治疗DME的5+PRN强化治疗研究_https://www.jmylbn.com_新闻资讯_第4张


04

讨论


DME的抗VEGF治疗方案治疗初始通常需要连续数月玻璃体腔注射,以实现视力改善的最大化。由于亚洲地区的DME患者病情严重程度远大于其他地区,因此探索5针强化治疗方案对于亚洲DME患者具有重要意义。

本研究结果显示:3+PRN和5+PRN给药方案治疗DME均能有效改善视力。5+PRN治疗方案未增加注药次数,且未出现并发症增多,未增加患者和社会的医疗负担及更多的医疗风险。另外,两种治疗方案均可降低CMT,且治疗后12mo 5+PRN组患者BCVA和CMT均优于3+PRN组。在起始3针治疗时两种治疗方案均可显著改善患者视力和降低CMT。但值得注意的是,5+PRN较3+PRN治疗方案治疗后6mo视力及黄斑区解剖学改善更好1

除了本项研究,另有宋艳萍教授及其团队采用回顾性临床研究,将2016年11月至2020年11月于解放军中部战区总医院眼科检查确诊并接受康柏西普治疗的累及中心凹DME患者92例135只眼纳入研究。患者分为3+PRN组(84只眼)、5+PRN组(51只眼)。对比观察两组患眼治疗后12个月末BCVA、中心凹视网膜厚度(CRT)变化以及玻璃体腔注药次数和并发症发生情况2。其结果表明两种不同治疗方案均能有效提高DME患眼的BCVA,降低CRT,显著改善不同类型DME患眼的视力预后,减少严重视力丧失的风险,而5+PRN组患眼需要的再治疗和补救激光光凝治疗次数更少,患眼视力提高更为稳定,视力波动更小。提示5+PRN康柏西普治疗能使不同类型DME患者获得更稳定的视力改善,后续仅需较少的注药次数即可维持疗效2

综上,根据两位教授及其团队的研究结果所述,康柏西普5+PRN与3+PRN治疗方案治疗DME均是安全有效的;5+PRN治疗方案视力改善更佳,CMT下降更明显;患眼仅需较少的PRN次数即可维持更稳定的疗效可维持更稳定的疗效1,2


参考文献


1孟婷,孙洪岩,罗彬,王晶,汪丽玉,高亚莉,蒋莉,王君,邓铤明,曾爱能,罗小玲,杨明明.康柏西普不同给药方案治疗DME的安全性和疗效评估[J].国际眼科杂志,2023,23(01):138-141.

2吴乔伟,黄珍,闫明,叶娅,宋艳萍,丁琴,陈晓.康柏西普不同给药方案治疗糖尿病黄斑水肿的疗效对比[J].中华眼底病杂志,2022,38(1):40-48.