abpm血压怎么看全球高血压用药史转折点:40年首个新靶点药物III期成功

新闻资讯2026-04-20 22:34:28
abpm血压怎么看全球高血压用药史转折点:40年首个新靶点药物III期成功_https://www.jmylbn.com_新闻资讯_第1张
abpm血压怎么看全球高血压用药史转折点:40年首个新靶点药物III期成功_https://www.jmylbn.com_新闻资讯_第2张



高血压,这个缠绕全球数亿人的“沉默杀手”,悄然损害着心脏、大脑、肾脏等生命核心器官。虽然过去曾诞生过年销售额峰值达50亿-60亿美元的重磅药物,但核心治疗靶点长达40年没有实质性突破,尤其是多线药物联用后依然无法控制,存在巨大未满足需求。


高血压:全球14亿人的沉默杀手



高血压(Hypertension,HTN)是全球心血管疾病和全因死亡率主要原因,无症状但伴随各种并发症,2019年全球有1080万人死于高收缩压,占总死亡人数约20%,被称为“沉默杀手”。高危人群主要为男性、老年人、黑人、肥胖、慢性肾病、和农村居民,至少75%的HTN发病率与肥胖直接相关。


根据美国心脏病学会/美国心脏协会(ACC/AHA) 2017年发布的指南,HTN定义为SBP(收缩压)≥130mmHg或DBP(舒张压)≥80mmHg根据欧洲心脏病学会(ESC)、国际高血压医学会(ISH)和国家健康与护理卓越研究所(NICE)指南,HTN定义为SBP≥140mmHg或DBP≥90mmHg。若根据140/90mmHg,HTN患病率全球/美国/欧盟分别约14亿/8000万/9000万人,分别占成年人31%/31%/24%。


abpm血压怎么看全球高血压用药史转折点:40年首个新靶点药物III期成功_https://www.jmylbn.com_新闻资讯_第3张

图:美国HTN患病率趋势,资料来源:uptodate


abpm血压怎么看全球高血压用药史转折点:40年首个新靶点药物III期成功_https://www.jmylbn.com_新闻资讯_第4张

图:5年心血管死亡率随SBP↑而↑,资料来源:uptodate


HTN可分为原发性(85-95%) vs 继发性(5-15%),继发性HTN包括继发于肾动脉狭窄、嗜铬细胞瘤、肾上腺腺瘤或单基因突变等。HTN的并发症包括左心室肥厚(LVH)、缺血性卒中、脑出血、缺血性心脏病(和冠状动脉介入治疗)、慢性肾病和终末期肾病等。


abpm血压怎么看全球高血压用药史转折点:40年首个新靶点药物III期成功_https://www.jmylbn.com_新闻资讯_第5张
abpm血压怎么看全球高血压用药史转折点:40年首个新靶点药物III期成功_https://www.jmylbn.com_新闻资讯_第6张

图:HTN并发症及机制,资料来源:The Calgary Guide


abpm血压怎么看全球高血压用药史转折点:40年首个新靶点药物III期成功_https://www.jmylbn.com_新闻资讯_第7张

表:原发 vs 继发性高血压风险因素,资料来源:和谐汇一研究部





abpm血压怎么看全球高血压用药史转折点:40年首个新靶点药物III期成功_https://www.jmylbn.com_新闻资讯_第8张

图:HTN分类,资料来源:Mineralys


HTN的诊断标准根据不同指南在数值上略有不同,2017年ACC/AHA指南建议以下诊断标准:使用ΑΒΡМ满足这些条件中的一个或多个即可确认:

(1)24小时平均SBP≥125 mmHg或DBP≥75 mmHg

(2)白天(清醒)平均SBP≥130 mmHg或DBP≥80 mmHg

(3)夜间(睡眠)平均SBP≥110 mmHg或DBP≥65 mmHg

(4)其中白天(清醒时)平均SBP≥130 mmHg或DBP≥80 mmHg是这些定义中最有用的

(5)家庭读数与日间动态测量结果的相关性比通常在临床医生办公室(即使用手动袖带和听诊器或在护理人员在场的情况下使用振荡测量装置)更准确

abpm血压怎么看全球高血压用药史转折点:40年首个新靶点药物III期成功_https://www.jmylbn.com_新闻资讯_第9张

表:不同指南下不同测量方式下HTN定义,资料来源:uptodate


abpm血压怎么看全球高血压用药史转折点:40年首个新靶点药物III期成功_https://www.jmylbn.com_新闻资讯_第10张

表:临床、家用血压计、白天、晚上、24hABPM的相关检测值,资料来源:uptodate



24h ABPM(24小时动态血压监测)是金标准测量不准确会高估/低估患者血压,从而导致用药过度/不足,而大多数门诊临床环境中,简单、快速的测量容易被打断,导致血压定期测量不准确,24h ABPM比诊室血压读数更能预测靶器官损伤和心血管事件。


abpm血压怎么看全球高血压用药史转折点:40年首个新靶点药物III期成功_https://www.jmylbn.com_新闻资讯_第11张

图:不同的血压测量方式,资料来源:uptodate


以上均需避免白大褂HTN或隐匿性HTN的误诊,无论是无人值守还是有人值守的自动办公室血压(AOBP)测量都比传统的办公室听诊器血压测量更能预测清醒状态,并可能减少白大褂效应。


abpm血压怎么看全球高血压用药史转折点:40年首个新靶点药物III期成功_https://www.jmylbn.com_新闻资讯_第12张

表:白大褂HTN vs 隐匿性HTN vs 办公室HTN,资料来源:和谐汇一研究部


HTN的诊断包含系统全面的检查:体格检查(评估终末器官损伤的迹象,确定心血管疾病,以及继发性高血压潜在原因的证据)、病史(有助于确定是否存在促发或加重因素,包括用药史、高血压持续时间、既往尝试治疗等)、靶器官的损伤程度、是否存在心血管/肾脏疾病、是否存在其他心血管危险因素、可能导致高血压的生活方式、实验室检查(电解质、血清肌酐、eGFR、空腹血糖、尿、全血细胞计数、促甲状腺激素、血脂、心超、计算10年性心血管疾病风险等)、附加测试(如白蛋白与肌酐比值、超声心动图等)、继发性HTN风险因素排查。


abpm血压怎么看全球高血压用药史转折点:40年首个新靶点药物III期成功_https://www.jmylbn.com_新闻资讯_第13张

图:HTN诊断流程,资料来源:AHA


大多数HTN患者的降压目标为诊室外测量的目标血压<130/80 mmHg(或者,如果没有诊室外测量的血压,则建议适当测量的诊室血压平均值)。部分特定患者如血压高度不稳定或体位性低血压、对多种降压药有副作用、年龄≥75岁、合并症负担高或DBP<55 mmHg等,治疗目标为<135/85 mmHg(诊室外)或<140/90 mmHg(适当测量的诊室平均值)。对于严重衰弱/痴呆/预期寿命有限的老年/不能走动或住院的患者,应个性化制定目标,与患者、亲属和照护者共同决定。

高血压的治疗分为生活方式改变、降压药和部分器械。


abpm血压怎么看全球高血压用药史转折点:40年首个新靶点药物III期成功_https://www.jmylbn.com_新闻资讯_第14张

表:已被验证的HTN生活方式改变,资料来源:和谐汇一研究部


美国指南中主要推荐4种药物作为初始治疗,包括血管紧张素转换酶抑制剂(ACEI)、血管紧张素受体阻滞剂(ARB)噻嗪类/噻嗪类利尿剂、钙通道阻滞剂(CCB)。按分线可简要概况为1L A单药方案(ACEI/ARB),2L AC/AD方案(ACEI/ARB+CCB/利尿剂),3L ACD方案(ACEI/ARB+CCB+利尿剂),4L ACD+MRA方案(醛固酮受体拮抗剂)。对于大多数SBP高于目标值>15mmHg的患者,单药无法充分控制血压,此时复方制剂是最有效的降压策略,可保证大多数患者的血压控制、提升依从性。


abpm血压怎么看全球高血压用药史转折点:40年首个新靶点药物III期成功_https://www.jmylbn.com_新闻资讯_第15张

表:各类降压药副作用,资料来源:和谐汇一研究部


abpm血压怎么看全球高血压用药史转折点:40年首个新靶点药物III期成功_https://www.jmylbn.com_新闻资讯_第16张

表:HTN并发症推荐/禁忌药物,资料来源:和谐汇一研究部


HTN病理生理机制:肾脏、血管、神经、RAS系统、肥胖均有累及,醛固酮逃逸为u/rHTN的罪魁祸首


80年前Irvine Page提出了HTN的马赛克理论,包括神经和化学扰动,血管口径和弹性改变,心血管反应性,血容量和粘度。马赛克理论反映了一个正在进行的关于肾脏(体积和心输出量)、脉管系统(弹性、血管口径和反应性)和中枢神经系统(反应性和神经性)。


abpm血压怎么看全球高血压用药史转折点:40年首个新靶点药物III期成功_https://www.jmylbn.com_新闻资讯_第17张

图:HTN马赛克理论前后,资料来源:《Circulation, Pathophysiology of HypertensionmThe Mosaic Theory and Beyond》


肾脏机制包括:产生肾素、重置或改变利尿/钠尿、通过肾传入神经产生反射信号来调节全身交感神经张力、作为免疫激活的场所,代表药物包括肾素抑制剂、SGLT-2i、ARB。


血管机制主要受口径、反应性、弹性影响,包括:血管收缩激素的环境增强(包括Ang II、儿茶酚胺、血管加压素)的环境增强、血管舒张功能障碍(内皮依赖性血管舒张和NO信号下降)、微血管和大血管结构的扰动、血管壁对血栓形成的防御功能受损,代表药物包括CCB、Rho激酶抑制剂(肺动脉高压)。


神经机制包括:增强血管收缩和血管重塑、与高血压有关的中枢通路、肾脏/脂肪传入神经刺激,代表药物包括βB、ARB。


RAAS系统:醛固酮的直接+间接机制:正常生理条件下,血压↓→醛固酮生成↑,保钠排钾。醛固酮导致HTN包括直接(基因转录)和间接机制(非基因转录)。


abpm血压怎么看全球高血压用药史转折点:40年首个新靶点药物III期成功_https://www.jmylbn.com_新闻资讯_第18张

图:RAAS系统,资料来源:《New Approaches in the Treatment of Hypertension》


abpm血压怎么看全球高血压用药史转折点:40年首个新靶点药物III期成功_https://www.jmylbn.com_新闻资讯_第19张

表:醛固酮导致高血压的直接(基因转录)和间接机制(非基因转录),资料来源:和谐汇一研究部


肥胖机制包括:脂肪细胞产生AngII和盐皮质激素释放因子,上调CYP11B2;瘦素/胰岛素等也激活肾交感神经。


abpm血压怎么看全球高血压用药史转折点:40年首个新靶点药物III期成功_https://www.jmylbn.com_新闻资讯_第20张

图:脂肪细胞/醛固酮/RAS系统之间关系,资料来源:《AHA, Adipocytes Produce Aldosterone Through Calcineurin-Dependent Signaling Pathways: Implications in Diabetes Mellitus–Associated Obesity and Vascular Dysfunction》



abpm血压怎么看全球高血压用药史转折点:40年首个新靶点药物III期成功_https://www.jmylbn.com_新闻资讯_第21张

图:肥胖除了醛固酮还有瘦素、胰岛素等对HTN贡献,资料来源:《AHA, Aldosterone and Metabolic Syndrome: Is Increased Aldosterone in Metabolic Syndrome Patients an Additional Risk Factor?》


“醛固酮逃逸”是指使用ACEI/ARB/肾素抑制剂→RAAS的慢性抑制→醛固酮抑制失败→顽固性高血压→心血管/肾脏疾病进展,其主要原因是无法抑制醛固酮分泌↑。1981年在首个使用卡托普利(ACEI)的患者中出现,血浆醛固酮水平在治疗初期↓后不久↑。后续大量报道证实,ACEI治疗1个月后血浆醛固酮显著↓,治疗3个月后醛固酮↑,治疗6个月后甚至比治疗前还有所↑,而ARB的逃逸程度相对轻,主要是由于相比ACEI作用于AngII,能更充分、更直接地阻断 RAAS。


醛固酮逃逸的可能机制包括:

(1)组织蛋白酶G、组织纤溶酶原激活剂通过非肾素途径,跃过AngⅠ,直接分解血管紧张素原形成AngⅡ

(2)内皮素/血管升压素/儿茶酚胺/高血钾/促肾上腺皮质激素//抗利尿激素/高脂血症和血浆高密度脂蛋白降低等非AngⅡ依赖的醛固酮刺激因子→醛固酮分泌↑

(3)心、大血管、脑等器官组织存在独立于经典RAS之外的外周醛固酮形成系统,并以自分泌与旁分泌的形式在局部发挥作用

(4)长期ACEI治疗→醛固酮生成的替代途径-胃促胰酶转化途径占优势→肾素↑

首个醛固酮受体拮抗剂(MRA)是20世纪60年代出现的螺内酯,但其选择性差、结构与孕酮相似,因此具促孕和抗雄激素活性,包括男性乳房发育、女性月经紊乱和绝经后出血、诱发高钾血症;单药有效,但作为rHTN和HF附加治疗会反弹。新一代MRA包括依普利酮(Eplerenone),无螺内酯的抗雄激素作用,但效力较弱,半衰期较短(3 -4h),因此疗效略差,需每日2次给药;新型非甾体MRA非奈利酮(Finerenone)选择性高于螺内酯,亲和力高于依普利酮,且对l型钙通道无影响,也具更强的心脏活性,可显著改善心肌功能。


但总体来说,MRA依然包括以下缺点:

(1)从RAAS负反馈诱导醛固酮代偿性↑

(2)RAS系统各组分(尤其是醛固酮)的反应性↑→疗效↓

(3)对肾脏以外CNS、心脏、血管平滑肌的MR活性抑制差

(4)过量的非结合醛固酮会增强非基因组效应(心脏/血管收缩力↑、葡萄糖稳态↓、↑中枢交感驱动),抵消MRA抑制醛固酮对MR基因组修饰的效果

(5)非基因组效应的增强导致安全性/耐受性问题

abpm血压怎么看全球高血压用药史转折点:40年首个新靶点药物III期成功_https://www.jmylbn.com_新闻资讯_第22张

表:MRA对比,资料来源:《BJP, Novel non-steroidal mineralocorticoid receptor antagonists in cardiorenal disease》



相比MRA,醛固酮合成酶抑制剂(Aldosterone Synthase Inhibitor,ASI)可以直接抑制罪魁祸首醛固酮水平,解决醛固酮非基因通路。ASIs可同时处理RAAS和非RAAS通路(不同于ACEI/ ARB),以及基因组和非基因组通路(不同于MRA),而不会产生代偿性增加。


abpm血压怎么看全球高血压用药史转折点:40年首个新靶点药物III期成功_https://www.jmylbn.com_新闻资讯_第23张

图:ASI可以解决醛固酮非基因通路,资料来源:《Inhibition of aldosterone synthase: Does this offer advantages compared with the blockade of mineralocorticoid receptors?》


abpm血压怎么看全球高血压用药史转折点:40年首个新靶点药物III期成功_https://www.jmylbn.com_新闻资讯_第24张

表:后线使用ASI可相比MRA更好解决醛固酮逃逸,资料来源:和谐汇一研究部


历史上醛固酮合成酶抑制剂(ASI)复盘


鉴于HTN与心脏病发作之间存在强相关性,FDA批准只需证明降压效果,无需证明长期临床证据。目前HTN III期获FDA批准共有2种途径:

(1)在适当的背景治疗(即≥3种不同机制药物)的患者中证明优于

(2)在接受背景治疗的患者中证明优于另一种降压药,FDA会在标签上标注优势

醛固酮合成酶由CYP11B2基因编码,催化醛固酮合成的最后三个限速步骤:11-去氧皮质酮的11β-羟基化形成皮质酮,随后皮质酮的18-羟基化形成18OH -皮质酮,以及18-OH皮质酮的18-氧化最终形成醛固酮。

abpm血压怎么看全球高血压用药史转折点:40年首个新靶点药物III期成功_https://www.jmylbn.com_新闻资讯_第25张

图:ASI机制,资料来源:《New Approaches in the Treatment of Hypertension》


abpm血压怎么看全球高血压用药史转折点:40年首个新靶点药物III期成功_https://www.jmylbn.com_新闻资讯_第26张

表:4种历史上ASI对比,资料来源:Mineralys,和谐汇一研究部



Osilodrostat(LCI-699):历史上首个ASI,疗效差,改做Cushing病。

临床前数据显示结构与FAD286(非甾体芳香化酶抑制剂fadzol的右对映体)相似,在高血压和的动物模型中能dose-dependently↓血浆和尿醛固酮浓度、↑血浆肾素活性、预防靶器官损伤。


I期原发性醛固酮增多(n=14,vs 安慰剂):血浆醛固酮和钾恢复正常,但11-去氧皮质酮↑和促肾上腺皮质醇↑,24h动态SBP↓4.2 mmHg


II期8周特发性高血压,n=524,不同剂量vs依普利酮,所有剂量的LCI699均显著降低诊室SBP,且不劣于依普利酮;血浆醛固酮水平↓(vs依普利酮↑),但LCI组中20%患者促肾上腺皮质激素刺激的皮质醇释放↓,原因可能是CYP11B1受到抑制


由于CYP11B2与皮质醇合成酶(CYP11B1)具有很高的氨基酸序列相似性(95%),LCI699选择性差→CYP11B1活性受到脱靶抑制→刺激HPA反馈轴→促肾上腺皮质激素↑和肾上腺类固醇生成↑以代偿皮质醇分泌↓。由此我们得到的教训是,成功的ASI所需特性包括:


(1)与11β-羟化酶抑制CYP11B1相比,醛固酮合酶抑制CYP11B2的选择性需更高


(2)血浆消除半衰期长于LCI699,需要更长的半衰期来抑制早晨较高醛固酮水平的“wake surge”


(3)优先抑制醛固酮合成的18-氧化酶步骤,从而阻止弱盐皮质激素18-OH皮质酮和皮质酮转化成醛固酮。


abpm血压怎么看全球高血压用药史转折点:40年首个新靶点药物III期成功_https://www.jmylbn.com_新闻资讯_第27张

图:LCI-699降压效果差,资料来源:《Effects of a Novel Aldosterone Synthase Inhibitor for Treatment of Primary Hypertension Results of a Randomized, Double-Blind, Placebo- and Active-Controlled Phase 2 Trial》


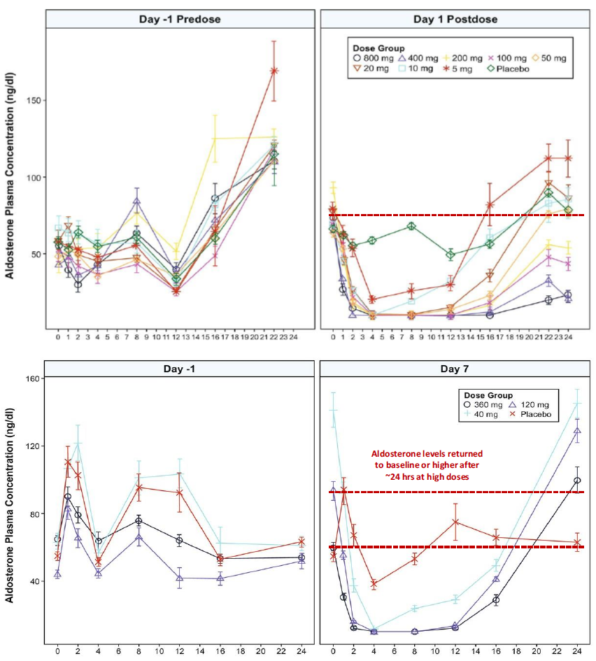
Baxdrostat:2023年1月阿斯利康$18亿收购CinCor获得,BrigHTN(4L+)成功,HALO(2/3L)失败




12周4L+ rHTN BrigHTN II期:预设期中分析后,由于独立数据监察委员会得出结论认为试验达到了压倒性疗效的标准,因此试验提前终止

abpm血压怎么看全球高血压用药史转折点:40年首个新靶点药物III期成功_https://www.jmylbn.com_新闻资讯_第28张

图:BrighTN剂量依赖性↓SBP、↓DBP,资料来源:《NEJM, Phase 2 Trial of Baxdrostat for Treatment-Resistant Hypertension》


abpm血压怎么看全球高血压用药史转折点:40年首个新靶点药物III期成功_https://www.jmylbn.com_新闻资讯_第29张

图:BrighTN血浆/24h尿醛固酮水平剂量依赖性↓,资料来源:《NEJM, Phase 2 Trial of Baxdrostat for Treatment-Resistant Hypertension》





8周2/3L uHTN HALO II期:受高安慰剂效应影响失败


我们认为,HALO的安慰剂组SBP=-16.2 mmHg,远高于Target-HTN的-4.1mmHg和BrigHTN的-9.4mmHg(通常在随机对照试验中为-6mmHg),主要是公司执行力问题:

(1)设计缺陷:没有用行业金标准ABPM:Cincor认为使用ABPM要求患者佩戴不舒服的血压监测设备24小时,包括在睡眠和洗澡时,会阻止参与研究

(2)白大褂噪音:AOBP,每次间隔2分钟,用连续3次测量的平均值,可能会有更多的白大褂噪声

(3)错诊/误诊:患者可能被误诊为r/uHTN

(4)背景治疗:高醛固酮水平与患者使用的抗高血压药数量较多相关,42%患者仅接受1种ACEI/ARB背景治疗,可能一些的HTN不是由醛固酮↑驱动的(如内皮功能障碍、心脏收缩力变化、交感神经系统激活和其他)

噻嗪利尿剂激活RAAS→代偿反应导致醛固酮↑,而HALO中只有32.5%患者接受了ACEI/ARB和噻嗪类利尿剂治疗 vs BrigHTN试验中100%

(5)依从性差:许多有问题的数据是在少数研究中心对患者隔离


abpm血压怎么看全球高血压用药史转折点:40年首个新靶点药物III期成功_https://www.jmylbn.com_新闻资讯_第30张

图:Baxdrostat 1mg qd组使血浆肾素活性相比基线↑6ng/mL/hr→肾脏水钠重吸收↓,资料来源:《2023年美国心脏病学会年会暨世界心脏病学大会(ACC.23/WCC)》


abpm血压怎么看全球高血压用药史转折点:40年首个新靶点药物III期成功_https://www.jmylbn.com_新闻资讯_第31张
abpm血压怎么看全球高血压用药史转折点:40年首个新靶点药物III期成功_https://www.jmylbn.com_新闻资讯_第32张

图:HALO剔除依从性不好患者前(左)vs 后(右)SBP↓幅度数据,资料来源:《2023年美国心脏病学会年会暨世界心脏病学大会(ACC.23/WCC)》


abpm血压怎么看全球高血压用药史转折点:40年首个新靶点药物III期成功_https://www.jmylbn.com_新闻资讯_第33张

表:BrighTN vs HALO基线:平均年龄更大、黑人比例更高、基础SBP/DBP更高、eGFR更差、噻嗪类利尿剂100%,资料来源:和谐汇一研究部


abpm血压怎么看全球高血压用药史转折点:40年首个新靶点药物III期成功_https://www.jmylbn.com_新闻资讯_第34张

表:BrighTN vs HALO副作用:整体副作用率、低钠血症比例更高(醛固酮↓明显),资料来源:和谐汇一研究部


abpm血压怎么看全球高血压用药史转折点:40年首个新靶点药物III期成功_https://www.jmylbn.com_新闻资讯_第35张

图:CinCor(CINC.O退市)股价复盘,资料来源:Wind,和谐汇一研究部


Mineralys:Lorundrostat,同类最佳ASI,3月III期数据阳性

abpm血压怎么看全球高血压用药史转折点:40年首个新靶点药物III期成功_https://www.jmylbn.com_新闻资讯_第36张

图:Mineralys(MLYS)股价复盘,资料来源:Wind,和谐汇一研究部


abpm血压怎么看全球高血压用药史转折点:40年首个新靶点药物III期成功_https://www.jmylbn.com_新闻资讯_第37张

图:Mineralys管理层经验丰富,资料来源:Mineralys,和谐汇一研究部






I期健康人:剂量依赖性↓24h血清醛固酮水平

abpm血压怎么看全球高血压用药史转折点:40年首个新靶点药物III期成功_https://www.jmylbn.com_新闻资讯_第38张

图:I期醛固酮抑制情况,资料来源:Mineraly






8周3L+u/r HTN Target-HTN II期:

abpm血压怎么看全球高血压用药史转折点:40年首个新靶点药物III期成功_https://www.jmylbn.com_新闻资讯_第39张

图:Target-HTN II期试验方案,资料来源:Mineralys


abpm血压怎么看全球高血压用药史转折点:40年首个新靶点药物III期成功_https://www.jmylbn.com_新闻资讯_第40张

表:Target-HTN vs BrighTN基线:平均年龄更大、男性比例更低、基础SBP/DBP更低、噻嗪类利尿剂比例更低、更前线、eGFR更低,资料来源:和谐汇一研究部


abpm血压怎么看全球高血压用药史转折点:40年首个新靶点药物III期成功_https://www.jmylbn.com_新闻资讯_第41张

表:Target-HTN vs BrighTN疗效:SBP和DBP↓绝对值不如Bax,但安慰剂组控制更好,安慰剂矫正后降压效果类似,资料来源:和谐汇一研究部


abpm血压怎么看全球高血压用药史转折点:40年首个新靶点药物III期成功_https://www.jmylbn.com_新闻资讯_第42张

表:Target-HTN vs BrighTN安全性:血K平均升高水平更低,高钾血症比例略高1-2%,资料来源:和谐汇一研究部


abpm血压怎么看全球高血压用药史转折点:40年首个新靶点药物III期成功_https://www.jmylbn.com_新闻资讯_第43张

图:Target-HTN试验队列1数据,资料来源:Mineralys


abpm血压怎么看全球高血压用药史转折点:40年首个新靶点药物III期成功_https://www.jmylbn.com_新闻资讯_第44张

图:Target-HTN试验AOBP SBP每周下降幅度(qd使用),资料来源:Mineralys


abpm血压怎么看全球高血压用药史转折点:40年首个新靶点药物III期成功_https://www.jmylbn.com_新闻资讯_第45张

图:Target-HTN试验100mgqd AOBP SBP(队列1 vs 队列2),资料来源:Mineralys


abpm血压怎么看全球高血压用药史转折点:40年首个新靶点药物III期成功_https://www.jmylbn.com_新闻资讯_第46张

表:亚组分析显示BMI>30、背景治疗使用噻嗪、白/黄种人对药物疗效更有利,资料来源:Mineralys


我们认为,MLYS选择50mg qd而非10mg qd,主要因为:

(1)50mg qd 与100mg qd对AOBP SBP↓类似程度,但不良事件较少(如高钾血症)

(2)半衰期相对较短,50 mg qd vs 25mg bid相比使血清钾的平均变化幅度↓25%,可能提示相比t1/2长的ASI或MRA(如螺内酯t1/2>24h),允许患者在一晚上不受醛固酮抑制可能具有安全性益处

我们认为,相比其他ASI药物,Lorundrostat的10-12h半衰期可能使清晨醛固酮wake surge自然排钾→↓高钾血症风险:

(1)Lorundrostat 50mg/100mg qd时,K=5.5 ~ 5.9 mmol/L、>6.0 mmol/L和>6.5 mmol/L时,4%/13%、3.6%/3.3%和3.6%/1.6%的患者

血钾>6mmol/L:Lorundrostat 50/100mg=3.3-3.6% vs 螺内酯2.1% vs Baxdrostat BrigHTN 2mg=2%,1mg=3%

平均血钾上升水平:Lorundrostat 50/100mg= +0.25/0.29mmol/L,螺内酯25-50mg=+0.43mmol/L,Baxdrostat 2mg/1mg =+0.29-0.43mmol/L

(2)Lorundrostat其对醛固酮合酶CYP11B2的选择性约为Baxdrostat的4倍,且抑制常数(Ki)为1.27 nM,低于Baxdrostat的13 nM

然而我们对于MLYS优异的II期数据依然存留一些疑虑:

(1)随机分组前未使用24h ABPM确认持续性高血压,导致Cohort 1受到“白大褂”噪声的影响,该噪声导致MLYS将50 mg QD队列的24h ABPM中约50%的患者删失

(2)只披露了4周PRA和醛固酮水平,8周未披露

(3)50mg qd 组夜间ABPM SBP仅-0.1mmHg,安慰剂校正后3.8mmHg

(4)ABOP已经能很好控制白大褂高血压了,为什么50mg组占50%比例?

(5)每个剂量组样本有限

(6)队列1选择了基线时肾素受抑制的参与者,这些患者理论上从减少醛固酮生成的药物中获益最大

回顾MLYS的Advance-HTN和Launch-HTN 2项III期试验,我们认为Advance-HTN II期的努力包括:更好的基线、导入期、依从性、24h ABPM、↓高钾血症、预设肥胖人群分析、无响应人群加剂量、使用金标准24h ABPM+更严格的AOBP、最小化高钾血症风险,↑依从性、↓数据异质性、↓白大褂噪音:

(1)基线:

SBP:从135mmHg → 140mmHg:↓白大褂高血压

 BMI:从平均30.5→BMI≥30比例>66%:II期肥胖患者经安慰剂校正后的收缩压变化为-16.7 mmHg,而非肥胖患者为+2.2 mmHg

eGFR:从≥60mL/min→≥45mL/min

血钾:从<5.2mmol/L → <4.8mmol/L:↓高钾血症风险

黑种人:从36%→>50%:管理层认为黑人比白人对醛固酮更敏感(即低水平驱动更大的HTN),虽然Target-HTN中没有差异,潜在基础醛固酮更高

女性:从60%→>40%:男性基础醛固酮水平更高

(2)背景治疗随机分组前停用转为优化治疗:

优化背景治疗:从Target中71-77%的患者使用ACEI/ARB、50/100 mg剂量组中只有约57%的患者使用噻嗪类利尿剂 → 100%噻嗪/样利尿剂+ARB:使用/不使用利尿剂的SBP=-12.9mmHg vs -4.4mmHg

导入期:随机分组前3周,患者停用现有的HTN药物,接受AHA推荐的优化治疗:即奥美沙坦(ARB) +吲达帕胺/氢氯噻嗪(2L),或奥美沙坦+吲达帕胺或氢氯噻嗪+氨氯地平(CCB) (3L),但未排除MRA(根据IQVIA数据仅2%,mgmt认为这些患者中的大多数由于耐受性/安全性问题而不是有效性而没有得到充分控制)

依从性:手机APP+AI技术来跟踪/加强依从性:Advance-HTN要求患者上传自己在舌上带药片的服药照片,并且外呼干预;Launch-HTN仅要求携带AI的智能手机但研究者不会干预,使获得更好的真实情况使用感受

(3)预设分层:2种vs 3-5种背景治疗和肥胖作为患者分层:基线患者肥胖>66%高于Target-HTN 48%、肥胖工具包

(4)剂量固定→未达目标者4周后从50mg qd→100mg100mg qd:部分患者可能对于50mg qd组响应不足,加剂量的标准明确为24h ABPM SBP未达目标值、血钾≤4.8 mmol/L、皮质醇水平达标。

(5)金标准24h ABPM:

纳入了全天22h的加权平均测量值:SBP测量时间7am-10 pm,间隔20分钟;夜间11pm-6am,间隔30分钟

不在10-11pm和6-7am之间收集数据,以消除从清醒到睡眠的过渡过程中可能产生的噪音

对患者进行了整整24小时的监测,提供了中枢和夜间血压→可更好了解心脏并发症,可帮助更好推动纳入治疗

(6)更严格的AOBP:

AOBP测定只在每天早晨给药前进行,即Lorundrostat血浆浓度最低值时的收缩压效应

共测量5次AOBP,每次测量间隔1 ~ 2 min,最后2次测量的平均值作为最终血压读数,前3次测量值被丢弃

而HALO试验在间隔2分钟内测量了3次测量的平均值,可能会有更多的白大褂噪声

(7)最小化高钾血症风险:纳入基线更低、禁食、当地lab抽血、噻嗪背景治疗、向上滴定100mg

abpm血压怎么看全球高血压用药史转折点:40年首个新靶点药物III期成功_https://www.jmylbn.com_新闻资讯_第47张

表:Lorundrostat vs Baxdrostat II/III期试验终点对比,资料来源:Clinicaltrials,和谐汇一研究部


abpm血压怎么看全球高血压用药史转折点:40年首个新靶点药物III期成功_https://www.jmylbn.com_新闻资讯_第48张

表:Lorundrostat vs Baxdrostat II/III期试验纳入标准对比,资料来源:Clinicaltrials,和谐汇一研究部


abpm血压怎么看全球高血压用药史转折点:40年首个新靶点药物III期成功_https://www.jmylbn.com_新闻资讯_第49张

表:Lorundrostat vs Baxdrostat II/III期试验排除标准对比,资料来源:Clinicaltrials,和谐汇一研究部


在III期读出前,我们也分析了可能造成试验失败的原因,包括:

(1)经过优化SOC背景治疗可能↑对非RAS机制驱动的患者,↓潜在获益人群

(2)导入期间过去服用4或5种药物的患者减少到3种,和II期设计不同

(3)黑人比例高可能依从性/社会经济因素导致的高血压难治

(4)MRA/螺内酯使用未分层,既往接受过MRA治疗的患者可能影响Advance-HTN的结果:醛固酮通路有多种重叠,可能影响Lorundrostat的效果

(5)APP舌下含服照片,尚不清楚相比II期是否能有依从性显著改善

(6)在关键试验中难以衡量无反应患者的比例

3月10日,Mineralys宣布Advance-HTN和Launch-HTN III期成功。


结尾



高血压,这个看似无声的“沉默杀手”,实则牵动着亿万家庭的健康神经。管理它,是一场考验耐心与坚持的生活“持久战”——从每日的饮食克己、规律运动,到按时服药、定期监测,每一步都至关重要。

令人振奋的是,在历经40年核心靶点沉寂之后,全新机制的降压药终于迎来破晓之光。这不仅为那些饱受顽固高血压困扰的患者带来了新希望,也意味着我们在这场关乎生命的战役中,拥有了更多、更有效的武器,去守护宝贵的健康未来。